Substituted tryptamine

The structure of substituted tryptamines. Tryptamine itself is obtained when R4=R5=RN1=RN2=Rα = H.

Substituted tryptamines, or serotonin analogues, are organic compounds which may be thought of as being derived from tryptamine itself. The molecular structures of all tryptamines contain an indole ring, joined to an amino (NH2) group via an ethyl (−CH2–CH2−) sidechain. In substituted tryptamines, the indole ring, sidechain, and/or amino group are modified by substituting another group for one of the hydrogen (H) atoms.

Well-known tryptamines include serotonin, an important neurotransmitter, and melatonin, a hormone involved in regulating the sleep-wake cycle. Tryptamine alkaloids are found in fungi, plants and animals; and sometimes used by humans for the neurological or psychotropic effects of the substance. Prominent examples of tryptamine alkaloids include psilocybin (from "psilocybin mushrooms") and DMT. In South America, dimethyltryptamine is obtained from numerous plant sources, like chacruna, and it is often used in ayahuasca brews. Many synthetic tryptamines have also been made, including the migraine drug sumatriptan, and psychedelic drugs. A 2022 study has found the variety of tryptamines present in wild mushrooms may affect the therapeutic impact.[1]

The tryptamine structure, in particular its indole ring, may be part of the structure of some more complex compounds, for example: LSD, ibogaine, mitragynine and yohimbine. A thorough investigation of dozens of tryptamine compounds was published by Ann and Alexander Shulgin under the title TiHKAL.

List of substituted tryptamines

Selected tryptamines
Chemical structure Short Name Origin Ring Substitution RN1 RN2 Full Name CAS Number
TryptamineAnimals, plants, fungiHHH3-(2-aminoethyl)indole / 2-(1H-indol-3-yl)ethanamine61-54-1
NMTPlantsHHCH3N-methyltryptamine61-49-4
2-HO-NMTPlants2-OHHCH32-hydroxy-N-methyltryptamine106987-89-7
5-MeO-NMTPlants5-OCH3HCH35-methoxy-N-methyltryptamine2009-03-2
SerotoninAnimals, plants5-OHHH5-hydroxytryptamine50-67-9
Nω-Methylserotonin (norbufotenin)Plants5-OHHCH35-hydroxy-N-methyltryptamine1134-01-6
BufoteninAnimals, plants, fungi5-OHCH3CH35-hydroxy-N,N-dimethyltryptamine487-93-4
BufotenidineAmphibians5-O(CH3)33-[2-(trimethylazaniumyl)ethyl]-1H-indol-5-olate487-91-2
MelatoninAnimals, plants, microbes5-OCH3HO=C-CH35-methoxy-N-acetyltryptamine73-31-4
N-AcetylserotoninAnimals5-OHHO=C-CH35-hydroxy-N-acetyltryptamine1210-83-9
6-HydroxymelatoninAnimals5-OCH3, 6-OHHO=C-CH3N-[2-(6-Hydroxy-5-methoxy-1H-indol-3-yl)ethyl]acetamide2208-41-5
4-HO-NMTFungi4-OHHCH34-hydroxy-N-methyltryptamine28363-70-4
PsilocinFungi4-OHCH3CH34-hydroxy-N,N-dimethyltryptamine520-53-6
NorbaeocystinFungi4-OPO3H2HH4-phosphoryloxy-tryptamine21420-59-7
BaeocystinFungi4-OPO3H2HCH34-phosphoryloxy-N-methyl-tryptamine21420-58-6
PsilocybinFungi4-OPO3H2CH3CH34-phosphoryloxy-N,N-dimethyltryptamine520-52-5
AeruginascinFungi4-OPO3H2(CH3)3[3-[2-(trimethylazaniumyl)ethyl]-1H-indol-4-yl] hydrogen phosphate114264-95-8
DMTAnimals, plantsHCH3CH3N,N-dimethyltryptamine61-50-7
LespedaminePlants1-OCH3CH3CH31-methoxy-N,N-dimethyltryptamine4335-93-7
5-MeO-DMTAnimals, plants5-OCH3CH3CH35-methoxy-N,N-dimethyltryptamine1019-45-0
5-Bromo-DMTMarine sponges, invertebrates5-BrCH3CH35-bromo-N,N-dimethyltryptamine17274-65-6
6-BromotryptamineMarine invertebrates6-BrHH6-bromotryptamine96624-18-9
5,6-DibromotryptamineMarine invertebrates5,6-BrHH5,6-dibromotryptamine
5,6-Dibromo-NMTMarine invertebrates5,6-BrHCH35,6-dibromo-N-methyltryptamine
5,6-Dibromo-DMTMarine sponges, invertebrates5,6-BrCH3CH35,6-dibromo-N,N-dimethyltryptamine72853-80-6
DesformylflustrabromineMarine invertebrates2-(α,α-dimethylallyl), 6-BrHCH32-[6-bromo-2-(2-methylbut-3-en-2-yl)-1H-indol-3-yl]-N-methylethanamine474657-72-2
Convolutindole AMarine invertebrates2,4,6-Br, 1,7-OCH3CH3CH31,7-dimethoxy-2,4,6-tribromo-N,N-dimethyltryptamine443356-86-3
Acetryptine artificial 5-COCH3 H H 5-Acetyltryptamine 3551-18-6
5-BT artificial 5-OCH2C6H5 H H 5-Benzyloxytryptamine 20776-45-8
5-CT artificial 5-CONH2 H H 5-Carboxamidotryptamine 74885-09-9
5-(Nonyloxy)tryptamineartificial5-O(CH2)8CH3HH5-nonyloxytryptamine157798-12-4
2-Methyl-5-hydroxytryptamine artificial 2-CH3, 5-OH H H 3-(2-aminoethyl)-2-methyl-1H-indol-5-ol 78263-90-8
NET artificial H H CH2CH3 N-ethyltryptamine 61-53-0
NiPT artificial H H CH(CH3)2 N-isopropyltryptamine 14121-10-9
NcPT artificial H H C3H5 N-cyclopropyltryptamine
NSBT artificial H H CH(CH3)CH2CH3 N-sec-butyltryptamine
NTBT artificial H H C(CH3)3 N-[2-(1H-indol-3-yl)ethyl]-2-methylpropan-2-amine
5-MeO-T-NBOMe artificial 5-OCH3 H CH2C6H4(o-OCH3) 5-methoxy-N-(ortho-methoxybenzyl)tryptamine 1335331-37-7
5-MT-NB3OMe [2] artificial 5-OCH3 H CH2C6H4(m-OCH3) 5-methoxy-N-(meta-methoxybenzyl)tryptamine 1648553-42-7
5-MeO-NBpBrT artificial 5-OCH3 H CH2C6H4(p-Br) N-(4-Bromobenzyl)-2-(5-methoxy-1H-indol-3-yl)ethanamine 155639-13-7
5-MeO-34MPEMT [3] artificial 5-OCH3 CH3 CH2CH2C6H3(p,m-OCH3) N-methyl-N-[2-(3,4-dimethoxyphenyl)ethyl]-2-(5-methoxy-1H-indol-3-yl)ethanamine
Idalopirdine artificial 6-F H CH2C6H4(m-OCH2CF2CF2H) 2-(6-Fluoro-1H-indol-3-yl)-N-(3-(2,2,3,3-tetrafluoropropoxy)benzyl)ethanamine 467459-31-0
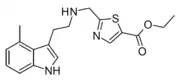
Z2876442907[4] artificial 4-CH3 H CH2(C3HNS)COOCH2CH3 ethyl 2-({[2-(4-methyl-1H-indol-3-yl)ethyl]amino}methyl)-1,3-thiazole-5-carboxylate
Pyr-TartificialH(CH2)43-[2-(Pyrrolidin-1-yl)ethyl]-1H-indole14008-96-9
4-HO-pyr-Tartificial4-OH(CH2)43-[2-(Pyrrolidin-1-yl)ethyl]-1H-indol-4-ol63097-26-7
5-MeO-pyr-Tartificial5-OCH3(CH2)45-Methoxy-3-[2-(pyrrolidin-1-yl)ethyl]-1H-indole3949-14-2
IndolylethylfentanylartificialH(CH2)5-4-N(COCH2CH3)C6H5N-[1-[2-(1H-indol-3-yl)ethyl]piperidin-4-yl]-N-phenylpropanamide58399-46-5
MET artificial H CH3 CH2CH3 N-Methyl-N-ethyltryptamine 5599-69-9
MPT artificial H CH3 CH2CH2CH3 N-Methyl-N-propyltryptamine 850032-72-3
MiPT artificial H CH3 CH(CH3)2 N-Methyl-N-isopropyltryptamine 96096-52-5
McPT artificial H CH3 C3H5 N-Methyl-N-cyclopropyltryptamine 1373918-63-8
EcPT artificial H CH2CH3 C3H5 N-ethyl-N-cyclopropyltryptamine
PcPT artificial H CH2CH2CH3 C3H5 N-propyl-N-cyclopropyltryptamine
iPcPT artificial H CH(CH3)2 C3H5 N-isopropyl-N-cyclopropyltryptamine
DcPT artificial H C3H5 C3H5 N,N-dicyclopropyltryptamine 1373918-62-7
MBT artificial H CH3 (CH2)3CH3 N-Methyl-N-butyltryptamine 848130-12-1
MSBT artificial H CH3 CH(CH3)CH2CH3 N-Methyl-N-sec-butyltryptamine
MiBT artificial H CH3 CH2CH(CH3)2 N-Methyl-N-iso-butyltryptamine
McPMT artificial H CH3 CH2C3H5 N-Methyl-N-(cyclopropylmethyl)tryptamine
DET artificial H CH2CH3 CH2CH3 N,N-diethyltryptamine 61-51-8
EPT artificial H CH2CH3 CH2CH2CH3 N-Ethyl-N-propyltryptamine 850032-68-7
EiPT artificial H CH2CH3 CH(CH3)2 N-Ethyl-N-isopropyltryptamine 848130-11-0
DPT artificial H CH2CH2CH3 CH2CH2CH3 N,N-dipropyltryptamine 61-52-9
PiPT artificial H CH2CH2CH3 CH(CH3)2 N-Propyl-N-isopropyltryptamine 1354632-00-0
DiPT artificial H CH(CH3)2 CH(CH3)2 N,N-diisopropyltryptamine 14780-24-6
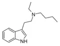
EBT artificial H CH2CH3 (CH2)3CH3 N-ethyl-N-butyltryptamine
PBT artificial H CH2CH2CH3 (CH2)3CH3 N-propyl-N-butyltryptamine
iPsBT artificial H CH(CH3)2 CH(CH3)CH2CH3 N-isopropyl-N-sec-butyltryptamine
DBT artificial H (CH2)3CH3 (CH2)3CH3 N,N-dibutyltryptamine 15741-77-2
DIBT artificial H CH2CH(CH3)2 CH2CH(CH3)2 N,N-diisobutyltryptamine 63938-64-7
DSBT artificial H CH(CH3)CH2CH3 CH(CH3)CH2CH3 N,N-disecbutyltryptamine
MALT artificial H CH3 H2C=CH-CH2 N-methyl-N-allyltryptamine 1366416-29-6
DALT artificial H H2C=CH-CH2 H2C=CH-CH2 N,N-diallyltryptamine 60676-77-9
ALiPT artificial H H2C=CH-CH2 CH(CH3)2 N-allyl-N-isopropyltryptamine
2-Methyl-DMT artificial 2-CH3 CH3 CH3 (2-(2-methyl-1H-indol-3-yl)-1-methyl-ethyl)dimethylamine 1080-95-1
2-Me-DET artificial 2-CH3 CH2CH3 CH2CH3 N,N-Diethyl-2-(2-methyl-1H-indol-3-yl)ethan-1-amine 26628-88-6
4-Amino-DMT [5] artificial 4-NH2 CH3 CH3 4-amino-N,N-dimethyltryptamine 60331-61-5
4-Methyl-DMT artificial 4-CH3 CH3 CH3 4,N,N-trimethyltryptamine 28289-23-8
4-MeO-DMT artificial 4-OCH3 CH3 CH3 4-methoxy-N,N-dimethyltryptamine 3965-97-7
4-MeO-MiPT artificial 4-OCH3 CH3 CH(CH3)2 4-methoxy-N-methyl-N-isopropyltryptamine 96096-53-6
4-MeO-DiPT artificial 4-OCH3 CH(CH3)2 CH(CH3)2 4-methoxy-N,N-diisopropyltryptamine
4-AcO-DMT artificial 4-OCOCH3 CH3 CH3 4-acetoxy-N,N-dimethyltryptamine 92292-84-7
4-PrO-DMT artificial 4-OCOCH2CH3 CH3 CH3 4-propionyloxy-N,N-dimethyltryptamine 1373882-11-1
4-HO-MET artificial 4-OH CH3 CH2CH3 4-hydroxy-N-methyl-N-ethyltryptamine 77872-41-4
4-Acetoxy-MET artificial 4-OCOCH3 CH3 CH2CH3 4-acetoxy-N-methyl-N-ethyltryptamine 1445751-40-5
4-PO-MET artificial 4-OPO3H2 CH3 CH2CH3 4-phosphoryloxy-N-methyl-N-ethyltryptamine
4-HO-DET artificial 4-OH CH2CH3 CH2CH3 4-hydroxy-N,N-diethyltryptamine 22204-89-3
4-Acetoxy-DET artificial 4-OCOCH3 CH2CH3 CH2CH3 4-acetoxy-N,N-diethyltryptamine 1135424-15-5
4-PO-DET artificial 4-OPO3H2 CH2CH3 CH2CH3 4-phosphoryloxy-N,N-diethyltryptamine 60480-02-6
4-HO-EPT artificial 4-OH CH2CH3 CH2CH2CH3 4-hydroxy-N-ethyl-N-propyltryptamine 2595431-59-5
4-PO-EPT artificial 4-OPO3H2 CH2CH3 CH2CH2CH3 4-phosphoryloxy-N-ethyl-N-propyltryptamine
4-AcO-EiPT artificial 4-OCOCH3 CH2CH3 CH(CH3)2 4-acetoxy-N-ethyl-N-isopropyltryptamine
4-HO-MPT artificial 4-OH CH3 CH2CH2CH3 4-hydroxy-N-methyl-N-propyltryptamine 763035-03-6
4-HO-MiPT artificial 4-OH CH(CH3)2 CH3 4-hydroxy-N-isopropyl-N-methyltryptamine 77872-43-6
4-Acetoxy-MiPT artificial 4-OCOCH3 CH3 CH(CH3)2 4-acetoxy-N-methyl-N-isopropyltryptamine 1024612-25-6
4-HO-MALT[6] artificial 4-OH CH3 H2C=CH-CH2 4-hydroxy-N-Methyl-N-allyltryptamine
4-AcO-MALT[7] artificial 4-OCOCH3 CH3 H2C=CH-CH2 4-acetoxy-N-Methyl-N-allyltryptamine
4-HO-NALT[8] artificial 4-OH H H2C=CH-CH2 4-hydroxy-N-allyltryptamine
4-HO-MSBT artificial 4-OH CH(CH3)CH2CH3 CH3 4-hydroxy-N-sec-butyl-N-methyltryptamine
4-HO-EiBT artificial[9] 4-OH CH2CH(CH3)2 CH2CH3 4-hydroxy-N-iso-butyl-N-ethyltryptamine
4-HO-McPT artificial 4-OH C3H5 CH3 4-hydroxy-N-cyclopropyl-N-methyltryptamine 2883663-05-4
4-HO-McPeT artificial 4-OH C5H9 CH3 4-hydroxy-N-cyclopentyl-N-methyltryptamine 77872-48-1
4-HO-McPMT [10] artificial 4-OH CH2C3H5 CH3 4-hydroxy-N-cyclopropylmethyl-N-methyltryptamine
4-HO-DPT artificial 4-OH CH2CH2CH3 CH2CH2CH3 4-hydroxy-N,N-dipropyltryptamine 63065-88-3
4-AcO-DPT artificial 4-OCOCH3 CH2CH2CH3 CH2CH2CH3 4-acetoxy-N,N-dipropyltryptamine 1445751-75-6
4-HO-PiPT artificial 4-OH CH2CH2CH3 CH(CH3)2 4-hydroxy-N-propyl-N-isopropyltryptamine
4-AcO-PiPT artificial 4-OCOCH3 CH2CH2CH3 CH(CH3)2 4-acetoxy-N-propyl-N-isopropyltryptamine
4-HO-DIPT artificial 4-OH CH(CH3)2 CH(CH3)2 4-hydroxy-N,N-diisopropyltryptamine 132328-45-1
4-Acetoxy-DiPT artificial 4-OCOCH3 CH(CH3)2 CH(CH3)2 4-acetoxy-N,N-diisopropyltryptamine 936015-60-0
4-PrO-DiPT artificial 4-OCOCH2CH3 CH(CH3)2 CH(CH3)2 4-propionyloxy-N,N-diisopropyltryptamine 1373882-13-3
FT-104 artificial 4-OCO(CH2)3COOH CH(CH3)2 CH(CH3)2 4-glutaryloxy-N,N-diisopropyltryptamine
4-PO-DiPT artificial 4-OPO3H2 CH(CH3)2 CH(CH3)2 4-phosphoryloxy-N,N-diisopropyltryptamine 1373882-09-7
4-HO-DALT artificial 4-OH H2C=CH-CH2 H2C=CH-CH2 4-hydroxy-N,N-diallyltryptamine
4-AcO-DALT artificial 4-OCOCH3 H2C=CH-CH2 H2C=CH-CH2 4-acetoxy-N,N-diallyltryptamine 1445751-71-2
4-HO-DBT artificial 4-OH (CH2)3CH3 (CH2)3CH3 4-hydroxy-N,N-dibutyltryptamine 63065-89-4
4-HO-DIBT artificial 4-OH CH2CH(CH3)2 CH2CH(CH3)2 4-hydroxy-N,N-diisobutyltryptamine
4-HO-DSBT artificial 4-OH CH(CH3)CH2CH3 CH(CH3)CH2CH3 4-hydroxy-N,N-disecbutyltryptamine 127507-01-1
5-MeO-MET artificial 5-OCH3 CH2CH3 CH3 5-methoxy-N-Methyl-N-ethyltryptamine 16977-53-0
5-MeO-DET artificial 5-OCH3 CH2CH3 CH2CH3 5-methoxy-N,N-diethyltryptamine 2454-70-8
5-MeO-MPT artificial 5-OCH3 CH3 CH2CH2CH3 5-methoxy-N-methyl-N-propyltryptamine
5-MeO-EPT artificial 5-OCH3 CH2CH3 CH2CH2CH3 5-methoxy-N-ethyl-N-propyltryptamine 850032-67-6
5-MeO-DPT artificial 5-OCH3 CH2CH2CH3 CH2CH2CH3 5-methoxy-N,N-dipropyltryptamine 69496-75-9
5-MeO-MALT artificial 5-OCH3 H2C=CH-CH2 CH3 5-methoxy-N-Methyl-N-allyltryptamine 1373918-64-9
5-MeO-DALT artificial 5-OCH3 H2C=CH-CH2 H2C=CH-CH2 5-methoxy-N,N-diallyltryptamine 928822-98-4
5-MeO-ALiPT artificial 5-OCH3 H2C=CH-CH2 CH2CH(CH3)2 5-methoxy-N-allyl-N-isopropyltryptamine
5-MeO-MiPT artificial 5-OCH3 CH3 CH(CH3)2 5-methoxy-N,N-methylisopropyltryptamine 96096-55-8
5,6-MeO-MiPT artificial 5-OCH3, 6-OCH3 CH3 CH(CH3)2 5,6-dimethoxy-N,N-methylisopropyltryptamine
5-MeO-McPT artificial 5-OCH3 CH3 C3H5 5-methoxy-N-methyl-N-cyclopropyltryptamine
5-MeO-McBT artificial 5-OCH3 CH3 C4H7 5-methoxy-N-methyl-N-cyclobutyltryptamine
5-MeO-EiPT artificial 5-OCH3 CH2CH3 CH(CH3)2 5-methoxy-N-ethyl-N-isopropyltryptamine 850032-66-5
5-MeO-PiPT artificial 5-OCH3 CH2CH2CH3 CH(CH3)2 5-methoxy-N-propyl-N-isopropyltryptamine
5-MeO-DIPT artificial 5-OCH3 CH(CH3)2 CH(CH3)2 5-methoxy-N,N-diisopropyltryptamine 4021-34-5
5-MeO-DBT artificial 5-OCH3 (CH2)3CH3 (CH2)3CH3 5-methoxy-N,N-dibutyltryptamine 73785-42-9
5-MeO-DSBT artificial 5-OCH3 CH(CH3)CH2CH3 CH(CH3)CH2CH3 5-methoxy-N,N-di-sec-butyltryptamine
5-MeS-DMT artificial 5-SCH3 CH3 CH3 5-methylthio-N,N-dimethyltryptamine 5102-11-4
5-AcO-DMT artificial 5-OCOCH3 CH3 CH3 5-acetoxy-N,N-dimethyltryptamine 16977-50-7
5-AcO-MET [11] artificial 5-OCOCH3 CH3 CH2CH3 5-acetoxy-N-methyl-N-ethyltryptamine
5-AcO-DET artificial 5-OCOCH3 CH2CH3 CH2CH3 5-acetoxy-N,N-diethyltryptamine
5-AcO-EPT [12] artificial 5-OCOCH3 CH2CH3 CH2CH2CH3 5-acetoxy-N-ethyl-N-propyltryptamine
5-AcO-DPT artificial 5-OCOCH3 CH2CH2CH3 CH2CH2CH3 5-acetoxy-N,N-dipropyltryptamine
5-AcO-MiPT artificial 5-OCOCH3 CH3 CH(CH3)2 5-acetoxy-N-methyl-N-isopropyltryptamine
5-AcO-DiPT artificial 5-OCOCH3 CH(CH3)2 CH(CH3)2 5-acetoxy-N,N-diisopropyltryptamine
5-Ethoxy-DMTartificial5-OCH2CH3CH3CH35-ethoxy-N,N-dimethyltryptamine855245-09-9
5-Ethoxy-METartificial5-OCH2CH3CH3CH2CH35-ethoxy-N-methyl-N-ethyltryptamine
5-Ethoxy-DETartificial5-OCH2CH3CH2CH3CH2CH35-ethoxy-N,N-diethyltryptamine
5-Ethoxy-MPTartificial5-OCH2CH3CH3CH2CH2CH35-ethoxy-N-methyl-N-propyltryptamine
5-Ethoxy-EPTartificial5-OCH2CH3CH2CH3CH2CH2CH35-ethoxy-N-ethyl-N-propyltryptamine
5-Ethoxy-DPTartificial5-OCH2CH3CH2CH2CH3CH2CH35-ethoxy-N,N-dipropyltryptamine
5-Ethoxy-MiPTartificial5-OCH2CH3CH3CH(CH3)25-ethoxy-N-methyl-N-isopropyltryptamine
5-Ethoxy-EiPTartificial5-OCH2CH3CH2CH3CH(CH3)25-ethoxy-N-ethyl-N-isopropyltryptamine
5-Ethoxy-DiPTartificial5-OCH2CH3CH(CH3)2CH(CH3)25-ethoxy-N,N-diisopropyltryptamine
5-Ethoxy-DALTartificial5-OCH2CH3H2C=CH-CH2H2C=CH-CH25-ethoxy-N,N-diallyltryptamine
5-BnO-DMT artificial 5-OCH2C6H5 CH3 CH3 5-benzyloxy-N,N-dimethyltryptamine 101832-88-6
5-HO-DET artificial 5-OH CH2CH3 CH2CH3 5-hydroxy-N,N-diethyltryptamine 14009-42-8
5-HO-DPT artificial 5-OH CH2CH2CH3 CH2CH2CH3 5-hydroxy-N,N-dipropyltryptamine 36288-75-2
5-HO-MiPT artificial 5-OH CH3 CH(CH3)2 5-hydroxy-N-methyl-N-isopropyltryptamine
5-HO-DiPT artificial 5-OH CH(CH3)2 CH(CH3)2 5-hydroxy-N,N-diisopropyltryptamine 36288-76-3
5-Methyl-DMT (5,N,N-TMT)artificial5-CH3CH3CH35,N,N-trimethyltryptamine22120-39-4
5-Ethyl-DMTartificial5-CH2CH3CH3CH35-ethyl-N,N-dimethyltryptamine171783-25-8
5-Isopropyl-DMTartificial5-CH(CH3)2CH3CH35-isopropyl-N,N-dimethyltryptamine156281-04-8
5-(t-Butyl)-DMT [13]artificial5-C(CH3)3CH3CH35-(tert-butyl)-N,N-dimethyltryptamine
5-Fluoro-DMTartificial5-FCH3CH35-fluoro-N,N-dimethyltryptamine22120-36-1
5-Fluoro-METartificial5-FCH3CH2CH35-fluoro-N-methyl-N-ethyltryptamine
5-Fluoro-DETartificial5-FCH2CH3CH2CH35-fluoro-N,N-diethyltryptamine
5-Fluoro-EPTartificial5-FCH2CH3CH2CH2CH35-fluoro-N-ethyl-N-propyltryptamine
5-Fluoro-DPTartificial5-FCH2CH2CH3CH2CH2CH35-fluoro-N,N-dipropyltryptamine
5-Fluoro-PiPTartificial5-FCH2CH2CH3CH(CH3)25-fluoro-N-propyl-N-isopropyltryptamine
5-Fluoro-PcBTartificial5-FCH2CH2CH3CH(CH2)35-fluoro-N-propyl-N-cyclobutyltryptamine
5-Fluoro-iPcBTartificial5-FCH(CH3)2CH(CH2)35-fluoro-N-isopropyl-N-cyclobutyltryptamine
5-Fluoro-DiPTartificial5-FCH(CH3)2CH(CH3)25-fluoro-N,N-diisoproptryptamine
5-Fluoro-sBALTartificial5-FCH(CH3)CH2CH3CH2CH=CH25-fluoro-N-sec-butyl-N-allyltryptamine
5-Fluoro-M1MALTartificial5-FCH3CH(CH3)CH=CH25-fluoro-N-methyl-N-(1-methylallyl)tryptamine
5-Chloro-DMTartificial5-ClCH3CH35-chloro-N,N-dimethyltryptamine22120-32-7
5-Iodo-DMTartificial5-ICH3CH35-iodo-N,N-dimethyltryptamine22120-38-3
5-TFM-DMTartificial5-CF3CH3CH35-(trifluoromethyl)-N,N-dimethyltryptamine2418713-32-1
5-TFMO-DMT[14]artificial5-OCF3CH3CH35-(trifluoromethoxy)-N,N-dimethyltryptamine
5-Nitro-DMT[15]artificial5-NO2CH3CH35-nitro-N,N-dimethyltryptamine69937-13-9
5-CN-DMTartificial5-C≡NCH3CH35-cyano-N,N-dimethyltryptamine17380-42-6
5-CN-DPTartificial5-C≡NCH2CH2CH3CH2CH2CH35-cyano-N,N-dipropyltryptamine74885-19-1
Almotriptan artificial 5-(CH2SO2N(CH2)4) CH3 CH3 N,N-dimethyl-2- [5-(pyrrolidin-1-ylsulfonylmethyl)- 1H-indol-3-yl]-ethanamine 154323-57-6
Rizatriptan artificial 5-(CH2(N3(CH)2)) CH3 CH3 N,N-dimethyl-2-[5-(1H-1,2,4-triazol-1-ylmethyl)-1H-indol-3-yl]ethanamine 145202-66-0
Sumatriptan artificial 5-(CH2SO2NHCH3) CH3 CH3 1-[3-(2-Dimethylaminoethyl)-1H-indol-5-yl]-N-methyl-methanesulfonamide 103628-46-2
Zolmitriptan artificial 5-(CHNHC=OOCH2) CH3 CH3 5-( 4-(S)-1,3-oxazolidin-2-one)-N,N-dimethyltryptamine 139264-17-8
6-Fluoro-DMTartificial6-FCH3CH36-fluoro-N,N-dimethyltryptamine1511-31-5
6-Fluoro-DET[16]artificial6-FCH2CH3CH2CH36-fluoro-N,N-diethyltryptamine2836-69-3
6-Chloro-DMTartificial6-ClCH3CH36-chloro-N,N-dimethyltryptamine25390-72-1
6-Methyl-DMTartificial6-CH3CH3CH36,N,N-trimethyltryptamine
6-Hydroxy-DMTartificial6-OHCH3CH36-hydroxy-N,N-dimethyltryptamine1476-33-1
6-Hydroxy-DETartificial6-OHCH3CH36-hydroxy-N,N-diethyltryptamine1476-59-1
6-Methoxy-DMTartificial6-OCH3CH3CH36-methoxy-N,N-dimethyltryptamine2426-88-2
7-Methyl-DMTartificial7-CH3CH3CH37,N,N-trimethyltryptamine65882-39-5
7-Ethyl-DMTartificial7-CH2CH3CH3CH37-ethyl-N,N-dimethyltryptamine
7-Chloro-DMTartificial7-ClCH3CH37-chloro-N,N-dimethyltryptamine
7-Bromo-DMT[17]artificial7-BrCH3CH37-bromo-N,N-dimethyltryptamine74798-68-8
7-Methoxy-DMTartificial7-OCH3CH3CH37-methoxy-N,N-dimethyltryptamine
7-Methoxy-MiPTartificial7-OCH3CH3CH(CH3)27-methoxy-N-methyl-N-isopropyltryptamine
1-Methylpsilocin artificial 1-CH3, 4-OH CH3 CH3 1-Methyl-3-[2-(N,N-dimethylamino)ethyl]-4-hydroxyindole 1465-16-3
1-Methyl-5-MeO-DiPT artificial 1-CH3, 5-OCH3 CH(CH3)2 CH(CH3)2 1-methyl-5-methoxy-N,N-diisopropyltryptamine 1373882-10-0
NB-5-MeO-MiPT artificial 1-OCOC(CH3)3, 5-OCH3 CH3 CH(CH3)2 1-(t-butoxycarbonyl)-5-methoxy-N-methyl-N-isopropyltryptamine
NB-5-MeO-DALT artificial 1-OCOC(CH3)3, 5-OCH3 H2C=CH-CH2 H2C=CH-CH2 1-(t-butoxycarbonyl)-5-methoxy-N,N-diallyltryptamine
6-Fluoropsilocinartificial4-OH,6-FCH3CH34-hydroxy-6-fluoro-N,N-dimethyltryptamine312314-12-8
6-Fluoro-5-MeO-DMTartificial5-OCH3,6-FCH3CH35-methoxy-6-fluoro-N,N-dimethyltryptamine
5,6-Difluoro-EPTartificial5-F, 6-FCH2CH3CH2CH2CH35,6-difluoro-N-ethyl-N-propyltryptamine
5-MeO-2-TMT artificial 2-CH3, 5-OCH3 CH3 CH3 2-(5-methoxy-2-methyl-H-indol-3-yl)-N,N-dimethylethanamine 67292-68-6
5-Methoxy-7,N,N-trimethyltryptamine artificial 5-OCH3, 7-CH3 CH3 CH3 5-Methoxy-7,N,N-trimethyltryptamine 61018-77-7
5-Methoxy-4,N,N-trimethyltryptamine artificial 4-CH3, 5-OCH3 CH3 CH3 5-Methoxy-4,N,N-trimethyltryptamine
4-HO-5-MeO-DMT artificial 4-OH, 5-OCH3 CH3 CH3 4-Hydroxy-5-methoxy-N,N-dimethyltryptamine 2433-31-0
4-F-5-MeO-DMT artificial 4-F, 5-OCH3 CH3 CH3 4-Fluoro-5-Methoxy-N,N-dimethyltryptamine 312314-18-4
5-methoxy-7-fluoro-MET artificial 5-OCH3, 7-F CH3 CH2CH3 5-Methoxy-7-Fluoro-N-methyl-N-ethyltryptamine
EMDT artificial 2-CH2CH3, 5-OCH3 CH3 CH3 2-(2-ethyl-5-methoxy-1H-indol-3-yl)-N,N-dimethylethanamine 263744-72-5
ST-1936 artificial 2-CH3, 5-Cl CH3 CH3 2-(2-methyl-5-chloro-1H-indol-3-yl)-N,N-dimethylethanamine 1210-81-7
O-4310 artificial 1-CH(CH3)2, 4-OH, 6-F CH3 CH3 3-[2-(dimethylamino)ethyl]-6-fluoro-1-isopropyl-1H-indol-4-ol 885671-63-6
CP-132,484 artificial 1-methyl-4,5-(OCH2CH2CH2) H H 1-(2-aminoethyl)-3-methyl-8,9-dihydropyrano(3,2-e)indole 143508-76-3
4,5-DHP-DMT artificial 4,5-(OCH2CH2CH2) CH3 CH3 1-(2-dimethylaminoethyl)-8,9-dihydropyrano[3,2-e]indole 135360-97-3
4,5-DHF-DMT (P-3) artificial[18] 4,5-(CH2CH2O) CH3 CH3 2-(3,6-dihydro-2H-furo[2,3-e]indol-8-yl)-N,N-dimethylethan-1-amine
4,5-Methylbenzodioxole-DMT (P-131) artificial 4,5-(OC(CH3)=N) CH3 CH3 N,N-dimethyl-2-(2-methyl-6H-[1,3]oxazolo[4,5-e]indol-8-yl)ethan-1-amine
4,5-MDO-DMT artificial 4,5-(OCH2O) CH3 CH3 2-(2H,6H-[1,3]Dioxolo[4,5-e]indol-8-yl)-N,N-dimethylethan-1-amine 81249-30-1
4,5-MDO-DiPT artificial 4,5-(OCH2O) CH(CH3)2 CH(CH3)2 N-[2-(2H,6H-[1,3]Dioxolo[4,5-e]indol-8-yl)ethyl]-N-(propan-2-yl)propan-2-amine 82173-82-8
5,6-FUR-DMT (P-4) artificial 5,6-(CH=CHO) CH3 CH3 2-(7H-furo[3,2-f]indol-5-yl)-N,N-dimethylethan-1-amine
5,6-MDO-DMT artificial 5,6-(OCH2O) CH3 CH3 2-(2H,5H-[1,3]Dioxolo[4,5-f]indol-7-yl)-N,N-dimethylethan-1-amine
5,6-MDO-MiPT artificial 5,6-(OCH2O) CH3 CH(CH3)2 N-[2-(2H,5H-[1,3]Dioxolo[4,5-f]indol-7-yl)ethyl]-N-methylpropan-2-amine
5,6-MDO-DiPT artificial 5,6-(OCH2O) CH(CH3)2 CH(CH3)2 N-[2-(2H,5H-[1,3]Dioxolo[4,5-f]indol-7-yl)ethyl]-N-(propan-2-yl)propan-2-amine
Chemical Structure Short Name Origin Ring Substitution RN1 RN2 Full Name CAS Number

List of substituted α-alkyltryptamines

α-Alkyltryptamines are a group of substituted tryptamines which possess an alkyl group, such as a methyl or ethyl group, attached at the alpha carbon, and in most cases no substitution on the amine nitrogen.[19][20][21] α-Alkylation of tryptamine makes it much more metabolically stable and resistant to degradation by monoamine oxidase, resulting in increased potency and greatly lengthened half-life.[21] This is analogous to α-methylation of phenethylamine into amphetamine.[21]

Many α-alkyltryptamines are drugs, acting as monoamine releasing agents, non-selective serotonin receptor agonists, and/or monoamine oxidase inhibitors,[22][23][24][25] and produce psychostimulant, entactogen, and/or psychedelic effects.[19][20][21] The most well-known of these agents are α-methyltryptamine (αMT) and α-ethyltryptamine (αET), both of which were used clinically as antidepressants for a brief period of time in the past and are abused as recreational drugs.[20][21] In accordance with its action as a dual releasing agent of serotonin and dopamine, αET has been found to produce serotonergic neurotoxicity similarly to amphetamines like MDMA and PCA, and the same is also likely to hold true for other serotonin and dopamine-releasing α-alkyltryptamines such as αMT, 5-MeO-αMT, and various others.[26]

Structure Common name Chemical name CAS number
Tryptophan (2S)-2-amino-3-(1H-indol-3-yl)propanoic acid 73-22-3
5-Hydroxytryptophan 2-amino-3-(5-hydroxy-1H-indol-3-yl)propanoic acid 4350-09-8
αMT 1-(1H-Indol-3-yl)propan-2-amine 299-26-3
4-HO-αMT 3-(2-aminopropyl)-1H-indol-4-ol 15066-09-8
4-Methyl-αMT 1-methyl-2-(4-methyl-1H-indol-3-yl)-ethylamine 3569-29-7
5-Fluoro-αMT 1-(5-fluoro-1H-indol-3-yl)propan-2-amine 712-08-3
5-Chloro-αMT 1-(5-Chloro-1H-indol-3-yl)propan-2-amine 712-07-2
5-HO-αMT (αMS/α-methyl-5-HT) 3-(2-aminopropyl)-1H-indol-5-ol 304-52-9
5-MeO-αMT 1-(5-methoxy-1H-indol-3-yl)propan-2-amine 1137-04-8
5-Ethoxy-αMT 1-(5-ethoxy-1H-indol-3-yl)propan-2-amine 101832-83-1
5-Isopropoxy-αMT 1-{5-[(propan-2-yl)oxy]-1H-indol-3-yl}propan-2-amine
BW-723C86 1-[5-(2-Thienylmethoxy)-1H-indol-3-yl]-2-propanamine 160521-72-2
6-Fluoro-αMT 1-(6-fluoro-1H-indol-3-yl)propan-2-amine 712-11-8
7-Chloro-AMT 1-(7-chloro-1H-indol-3-yl)propan-2-amine 711-99-9
AL-37350A (4,5-dihydropyrano-αMT) (S)-(+)-1-(2-Aminopropyl)-8,9-dihydropyrano[3,2-e]indole 362603-40-5
Compound 5 [27] 1-(3H-benzo[e]indol-1-yl)propan-2-amine
αET 1-(1H-indol-3-yl)butan-2-amine 2235-90-7
4-Methyl-αET 1-(4-Methyl-1H-indol-3-yl)butan-2-amine 28289-30-7
4-HO-αET 1-(4-hydroxy-1H-indol-3-yl)butan-2-amine 28289-28-3
5-Fluoro-αET 1-(5-fluoro-1H-indol-3-yl)butan-2-amine 1380137-98-3
5-Methyl-αET 1-(5-methyl-1H-indol-3-yl)butan-2-amine 1380148-21-9
5-MeO-αET 1-(5-methoxy-1H-indol-3-yl)butan-2-amine 4765-10-0
7-Methyl-αET 1-(7-methyl-1H-indol-3-yl)butan-2-amine 13712-80-6
N-Methyl-5-MeO-αMT (α,N,O-TMS/α,N,O-trimethyl-5-HT) [1-(5-methoxy-1H-indol-3-yl)propan-2-yl](methyl)amine 4822-13-3
N,N-Dimethyl-αMT (α,N,N-TMT) (2-(1H-Indol-3-yl)-1-methyl-ethyl)dimethylamine 4761-32-4
N,N-Dimethyl-5-MeO-αMT (5-MeO-α,N,N-TMT) (2-(5-methoxy-1H-Indol-3-yl)-1-methyl-ethyl)dimethylamine 101831-90-7
αMDiPT (2-(1H-Indol-3-yl)-1-methyl-ethyl)diisopropylamine
MPMI[28] 3-[(1-methylpyrrolidin-2-yl)methyl]-1H-indole 143321-54-4
Lucigenol (R)-3-(N-methylpyrrolidin-2-ylmethyl)-4-hydoxyindole 250672-65-2
5-MeO-MPMI 5-Methoxy-3-{[(2R)-1-methylpyrrolidin-2-yl]methyl}-1H-indole 143321-57-7
5F-MPMI[29] (R)-5-fluoro-3-[(1-methylpyrrolidin-2-yl)methyl]-1H-indole
5-Br-MPMI 5-bromo-3-[(1-methylpyrrolidin-2-yl)methyl]-1H-indole 143322-57-0
Eletriptan 3-{[(2R)-1-methylpyrrolidin-2-yl]methyl}-5-[2-(benzenesulfonyl)ethyl]-1H-indole 143322-58-1
Z5247692566[4][30] 4-[(3,3-dimethyloxolan-2-yl)methyl]-3-[(1H-indol-3-yl)methyl]morpholine

A number of related compounds are known, with a similar structure but having the indole core flipped and/or replaced with related cores such as indoline, indazole, benzothiophene, or benzofuran. These similarly are primarily active as agonists at the 5-HT2 family of serotonin receptors, with applications in the treatment of glaucoma, cluster headaches or as anorectics.

Structure Common name Chemical name CAS number
Dimemebfe 2-(5-Methoxy-1-benzofuran-3-yl)-N,N-dimethylethanamine 140853-58-3
5-MeO-DiBF N-[2-(5-Methoxy-1-benzofuran-3-yl)ethyl]-N-(propan-2-yl)propan-2-amine
3-APB 3-(2-aminopropyl)benzofuran 105909-13-5
Mebfap 3-(2-aminopropyl)-5-methoxybenzofuran 140853-59-4
Ro60-0175 (S)-(6-chloro-5-fluoro-1H-indol-1-yl)propan-2-amine 169675-09-6
AAZ-A-154 (2R)-1-(5-methoxy-1H-indol-1-yl)-N,N-dimethylpropan-2-amine
Example 1 [31] 1-(3-methyl-8,9-dihydropyrano[2,3-g]indol-1(7H)-yl)propan-2-amine
VER-3323 (2S)-1-(6-bromo-2,3-dihydroindol-1-yl)propan-2-amine 259857-99-3
AL-34662 1-((S)-2-Aminopropyl)-1H-indazol-6-ol 210580-75-9
O-methyl-AL-34662 1-((S)-6-methoxy-2-aminopropyl)-1H-indazole 210580-60-2
7-methyl-AL-34662 1-((S)-2-Aminopropyl)-7-methyl-1H-indazol-6-ol 874668-67-4
7-chloro-AL-34662 1-((S)-2-Aminopropyl)-7-chloro-1H-indazol-6-ol 874881-86-4
AL-38022A (S)-2-(8,9-dihydro-7H-pyrano[2,3-g]indazol-1-yl)-1-methylethylamine 478132-11-5
Example 9 [32] (S)-α-methyl-pyrano[2,3-g]indazole-1(7H)-ethanamine 478132-12-6
Example 3 [33] (S)-7,8-dihydro-α-methyl-1H-[1,4]dioxino[2,3-g]indazole-1-ethanamine 890087-75-9
Example 1 [34] (S)-8,9-dihydro-α,9-dimethylpyrazolo[3,4-f][1,4]benzoxazine-1(7H)-ethanamine 1373917-69-1
YM-348 (2S)-1-(7-ethyl-1H-furo[2,3-g]indazol-1-yl)propan-2-amine 372163-84-3
2-desethyl-YM-348 [35] (2S)-1-(1H-furo[2,3-g]indazol-1-yl)propan-2-amine 748116-94-1
I-32 [36] 3-(1-methylpyrrolidin-3-yl)-1H-indol-4-ol
2-Azapsilocin (Psilocin indazole analogue, P-6)[37] 3-[2-(dimethylamino)ethyl]-1H-indazol-4-ol
4-Aza-5-MeO-DPT (P-11) N-[2-(5-methoxy-1H-pyrrolo[3,2-b]pyridin-3-yl)ethyl]-N-propylpropan-1-amine
5-Aza-4-MeO-DiPT (P-36) N-[2-(4-methoxy-1H-pyrrolo[3,2-c]pyridin-3-yl)ethyl]-N-(propan-2-yl)propan-2-amine
7-Aza-5-MeO-DiPT (P-19) N-[2-(5-methoxy-1H-pyrrolo[2,3-b]pyridin-3-yl)ethyl]-N-(propan-2-yl)propan-2-amine
VU6067416[38] 3-(1,2,5,6-tetrahydropyridin-3-yl)-5-bromo-1H-indazole
(R)-69 3-[(5R)-5-methyl-1,2,5,6-tetrahydropyridin-3-yl]-1H-pyrrolo[2,3-b]pyridine
SN-22 3-(1-methylpiperidin-4-yl)-1H-indole 17403-07-5

Further reading

  • TiHKAL

See also

References

  1. Chemistry, University of; Prague, Technology. "Concentrations of psychoactive compounds in mushrooms found to be extremely variable". phys.org. Retrieved 2022-12-26.
  2. Toro-Sazo M, Brea J, Loza MI, Cimadevila M, Cassels BK (2019). "5-HT2 receptor binding, functional activity and selectivity in N-benzyltryptamines". PLOS ONE. 14 (1): e0209804. Bibcode:2019PLoSO..1409804T. doi:10.1371/journal.pone.0209804. PMC 6328172. PMID 30629611.
  3. Jensen N. Tryptamines as Ligands and Modulators of the Serotonin 5-HT2A Receptor and the Isolation of Aeruginascin from the Hallucinogenic Mushroom Inocybe aeruginascens. PhD thesis, University of Göttingen, 2004
  4. 1 2 Lyu J, Kapolka N, Gumpper R, Alon A, Wang L, Jain MK, et al. (December 2023). "AlphaFold2 structures template ligand discovery". bioRxiv. doi:10.1101/2023.12.20.572662. PMC 10769324. PMID 38187536.
  5. McKay JB, Parkhurst RM, Silverstein RM, Skinner WA (October 1963). "Analogues of Psilocin and Lysergic acid diethylamide I. Chloro, Nitro, and Amino Derivatives of 3-Substituted Indoles". Canadian Journal of Chemistry. 41 (10): 2585–2590. doi:10.1139/v63-378.
  6. Klein AK, Chatha M, Laskowski LJ, Anderson EI, Brandt SD, Chapman SJ, McCorvy JD, Halberstadt AL (April 2021). "Investigation of the Structure-Activity Relationships of Psilocybin Analogues". ACS Pharmacology & Translational Science. 4 (2): 533–542. doi:10.1021/acsptsci.0c00176. PMC 8033608. PMID 33860183.
  7. Pham DN, Chadeayne AR, Golen JA, Manke DR (February 2021). "Psilacetin derivatives: fumarate salts of the meth-yl-ethyl, meth-yl-allyl and diallyl variants of the psilocin prodrug". Acta Crystallographica Section E. 77 (Pt 2): 101–106. Bibcode:2021AcCrE..77..101P. doi:10.1107/S2056989021000116. PMC 7869532. PMID 33614134.
  8. Sherwood AM, Burkhartzmeyer EK, Williamson SE, Baumann MH, Glatfelter GC. Psychedelic-like Activity of Norpsilocin Analogues. ACS Chem Neurosci. 2024 Jan 17;15(2):315-327. doi:10.1021/acschemneuro.3c00610 PMID 38189238
  9. WO 2023115167, Banister S, Jorgensen W, Jinlong T, "Compounds", published 29 June 2023, assigned to Psylo Pty Ltd.
  10. WO 2021179091, Kozikowski A, Shaprio G, Tueckmantel W, McCorvy J, "3-(2-(Aminoethyl)-indol-4-ol derivatives, methods of preparation thereof, and the use as 5-HT2 receptor modulators", published 16 September 2021, assigned to Bright Minds Biosciences Inc. and The Medical College Of Wisconsin Inc.
  11. WO 2021101926, Stamets PE, "Tryptamine Compositions for Enhancing Neurite Outgrowth.", published 2021-05-27, assigned to Stamets Paul Edward.
  12. WO 2021168082, Kruegel AC, Sporn J, "Specific Tryptamines for use in the Treatment of Mood Disorders.", published 26 August 2021
  13. Xu YC, Schaus JM, Walker C, Krushinski J, Adham N, Zgombick JM, Liang SX, Kohlman DT, Audia JE (February 1999). "N-Methyl-5-tert-butyltryptamine: A novel, highly potent 5-HT1D receptor agonist". Journal of Medicinal Chemistry. 42 (3): 526–31. doi:10.1021/jm9805945. PMID 9986723.
  14. WO 2022235927, Kruegel AC, "Novel Tryptamines and Methods of Treating Mood Disorders", published 10 November 2022, assigned to Gilgamesh Pharmaceuticals, Inc.
  15. Shaw E, Woolley DW (April 1953). "The synthesis of nitro-and aminoindoles analogous to serotonin". Journal of the American Chemical Society. 75 (8): 1877–1881. doi:10.1021/ja01104a029.
  16. Rabin RA, Regina M, Doat M, Winter JC (May 2002). "5-HT2A receptor-stimulated phosphoinositide hydrolysis in the stimulus effects of hallucinogens". Pharmacology, Biochemistry, and Behavior. 72 (1–2): 29–37. doi:10.1016/s0091-3057(01)00720-1. PMID 11900766. S2CID 6480715.
  17. Glennon RA, Schubert E, Jacyno JM, Rosecrans JA (November 1980). "Studies on several 7-substituted N,N-dimethyltryptamines". Journal of Medicinal Chemistry. 23 (11): 1222–6. doi:10.1021/jm00185a014. PMID 6779006.
  18. WO 2023115166, Banister S, Jorgensen W, Jinlong T, "Compounds", published 29 June 2023, assigned to Psylo Pty Ltd.
  19. 1 2 Ries RK, Miller SC, Fiellin DA (2009). Principles of Addiction Medicine. Lippincott Williams & Wilkins. pp. 216–218. ISBN 978-0-7817-7477-2.
  20. 1 2 3 Laing RR (2003). Hallucinogens: A Forensic Drug Handbook. Academic Press. pp. 102–. ISBN 978-0-12-433951-4.
  21. 1 2 3 4 5 Lemke TL, Williams DA (24 January 2012). Foye's Principles of Medicinal Chemistry. Lippincott Williams & Wilkins. pp. 641–. ISBN 978-1-60913-345-0.
  22. Nagai F, Nonaka R, Satoh Hisashi Kamimura K (March 2007). "The effects of non-medically used psychoactive drugs on monoamine neurotransmission in rat brain". European Journal of Pharmacology. 559 (2–3): 132–7. doi:10.1016/j.ejphar.2006.11.075. PMID 17223101.
  23. Blough BE, Landavazo A, Partilla JS, Decker AM, Page KM, Baumann MH, Rothman RB (October 2014). "Alpha-ethyltryptamines as dual dopamine-serotonin releasers". Bioorganic & Medicinal Chemistry Letters. 24 (19): 4754–4758. doi:10.1016/j.bmcl.2014.07.062. PMC 4211607. PMID 25193229.
  24. Nonaka R, Nagai F, Ogata A, Satoh K (December 2007). "In vitro screening of psychoactive drugs by [(35)S]GTPgammaS binding in rat brain membranes". Biological & Pharmaceutical Bulletin. 30 (12): 2328–33. doi:10.1248/bpb.30.2328. PMID 18057721.
  25. Feldman JM, Chapman B (December 1975). "Monoamine oxidase inhibitors: nature of their interaction with rabbit pancreatic islets to alter insluin secretion". Diabetologia. 11 (6): 487–94. doi:10.1007/bf01222097. PMID 1107123.
  26. Huang XM, Johnson MP, Nichols DE (July 1991). "Reduction in brain serotonin markers by alpha-ethyltryptamine (Monase)". European Journal of Pharmacology. 200 (1): 187–90. doi:10.1016/0014-2999(91)90686-K. PMID 1722753.
  27. Chang-Fong J, Addo J, Dukat M, Smith C, Mitchell NA, Herrick-Davis K, Teitler M, Glennon RA (January 2002). "Evaluation of isotryptamine derivatives at 5-HT(2) serotonin receptors". Bioorganic & Medicinal Chemistry Letters. 12 (2): 155–8. doi:10.1016/s0960-894x(01)00713-2. PMID 11755343.
  28. US 5607951, Macor JE, Wythes MJ, "Indole derivatives", issued 4 March 1997, assigned to Pfizer, Inc.
  29. WO 2022256554, Wallach J, Dybek M, "Fluorinated Tryptamine Compounds, Analogues Thereof, and Methods Using Same.", published 8 December 2022, assigned to University Of The Sciences.
  30. Callaway E (18 January 2024). "AlphaFold found thousands of possible psychedelics. Will its predictions help drug discovery?". Nature News. 626 (7997): 14–15. Bibcode:2024Natur.626...14C. doi:10.1038/d41586-024-00130-8. PMID 38238624. S2CID 267040499.
  31. US granted 7012090, Chen HH, May JA, "Pyranoindoles for treating glaucoma", published 17 March 2000, issued 14 March 2006, assigned to Alcon, Inc.
  32. US granted 6881749, Chen HH, May JA, Severns BS, "Pyranoindazoles and their use for the treatment of glaucoma", published 3 June 2004, issued 19 April 2005, assigned to Alcon, Inc.
  33. US granted 7425572, Chen HH, May JA, "Use of dioxindoindazoles and dioxoloindazoles for treating glaucoma", published 8 June 2006, issued 16 September 2008, assigned to Alcon, Inc.
  34. US granted 7268131, Dantanarayana AP, May JA, "Substituted [1,4]oxazino[2,3-g]indazoles for the treatment of glaucoma", published 15 December 2005, issued 11 September 2007, assigned to Alcon, Inc.
  35. Shimada I, Maeno K, Kazuta K, Kubota H, Kimizuka T, Kimura Y, et al. (February 2008). "Synthesis and structure-activity relationships of a series of substituted 2-(1H-furo[2,3-g]indazol-1-yl)ethylamine derivatives as 5-HT2C receptor agonists". Bioorganic & Medicinal Chemistry. 16 (4): 1966–82. doi:10.1016/j.bmc.2007.10.100. PMID 18035544.
  36. WO 2022120475, Slassi A, Araujo J, Higgins G, "3-Cyclic Amine-Indole Derivatives as Serotonergic Agents for the Treatment of CNS Disorders.", published 16 June 2022, assigned to Mindset Pharma Inc.
  37. WO 2023115165, Banister S, Jorgensen W, Jinlong T, "Compounds", published 29 June 2023, assigned to Psylo Pty Ltd.
  38. Jayakodiarachchi N, et al. Evaluation of the Indazole Analogs of 5-MeO-DMT and Related Tryptamines as Serotonin Receptor 2 Agonists. ACS Med. Chem. Lett. 2024 doi:10.1021/acsmedchemlett.3c00566
This article is issued from Wmcloud. The text is licensed under Creative Commons - Attribution - Sharealike. Additional terms may apply for the media files.