Cefapirin
Clinical data
AHFS/Drugs.comInternational Drug Names
MedlinePlusa601206
Routes of
administration
Intravenous, intramuscular
ATC code
Legal status
Legal status
Identifiers
CAS Number
PubChem CID
DrugBank
ChemSpider
UNII
KEGG
ChEBI
ChEMBL
CompTox Dashboard (EPA)
ECHA InfoCard100.040.409
Chemical and physical data
FormulaC17H17N3O6S2
Molar mass423.46 g·mol−1
3D model (JSmol)
  • O=C2N1/C(=C(\CS[C@@H]1[C@@H]2NC(=O)CSc3ccncc3)COC(=O)C)C(=O)O
  • InChI=1S/C17H17N3O6S2/c1-9(21)26-6-10-7-28-16-13(15(23)20(16)14(10)17(24)25)19-12(22)8-27-11-2-4-18-5-3-11/h2-5,13,16H,6-8H2,1H3,(H,19,22)(H,24,25)/t13-,16-/m1/s1 checkY
  • Key:UQLLWWBDSUHNEB-CZUORRHYSA-N checkY
  (verify)

Cefapirin (INN, also spelled cephapirin) is an injectable, first-generation cephalosporin antibiotic. It is marketed under the trade name Cefadyl. Production for use in humans has been discontinued in the United States.[1]

It also has a role in veterinary medicine as Metricure, an intrauterine preparation, and combined with prednisolone in Mastiplan, an intramammary preparation. Both are licensed in cattle.

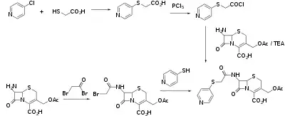
Synthesis

In one of the syntheses, 7-aminocephalosporanic acid (7-ACA) is reacted with bromoacetyl chloride to give the amide. The halo group is then displaced by 4-thiopyridine.[2]

References

  1. "CEFADYL". U.S. Food and Drug Administration.
  2. 1 2 Crast LB, Graham RG, Cheney LC (December 1973). "Synthesis of cephapirin and related cephalosporins from 7-(alpha-bromoacetamido)cephalosporanic acid". Journal of Medicinal Chemistry. 16 (12): 1413–5. doi:10.1021/jm00270a025. PMID 4148798.
This article is issued from Wikipedia. The text is licensed under Creative Commons - Attribution - Sharealike. Additional terms may apply for the media files.