
Alkyne metathesis is an organic reaction that entails the redistribution of alkyne chemical bonds. The reaction requires metal catalysts. Mechanistic studies show that the conversion proceeds via the intermediacy of metal alkylidyne complexes.[1][2][3] The reaction is related to olefin metathesis.
History

Metal-catalyzed alkyne metathesis was first described in 1968 by Bailey, et al. The Bailey system utilized a mixture of tungsten and silicon oxides at temperatures as high as 450 °C. In 1974 Mortreux reported the use of a homogeneous catalyst—molybdenum hexacarbonyl at 160 °C—to observe an alkyne scrambling phenomenon, in which an unsymmetrical alkyne equilibrates with its two symmetrical derivatives.[4] The Mortreux system consists of the molybdenum precatalyst molybdenum hexacarbonyl Mo(CO)6 and resorcinol cocatalyst. In 1975, T. J. Katz proposed a metal carbyne (i.e. alkylidyne) and a metallacyclobutadiene as intermediates. In 1981, R. R. Schrock characterized several metallacyclobutadiene complexes that were catalytically active.[5]
Molybdenum catalyst with aniline-derived ligands are highly effective catalysts.[6]
- Catalysts for alkyne metathesis

"canopy catalysts"
Air stable low-valent d2 rhenium alkylidyne
various Schrock-based alkyne metathesis catalysts
The so-called "canopy catalysts" containing tripodal ligands are particularly active and easy to prepare.[7] [8] Thorough experimental and computational studies showed that metallatetrahedranes were isolable but dynamic species within the catalytic cycle.[9] Alkyne metathesis catalyst have also been developed using rhenium(V) complexes.[10] Such catalysts are air stable and tolerant of diverse functional groups, including carboxylic acids.
Catalyst degradation
Typical degradation pathways for these catalysts include hydrolysis and oxidation.
Dimerization of the alkylidyne units remains possible, as can be seen from complex 28, which was isolated in small amounts. In addition to the decomposition pathways by bimolecular collision or hydrolysis, Schrock alkylidyne complexes degrade upon attempted metathesis of terminal alkynes. The critical step occurs after formation of the metallacycle and consists of a transannular C-H activation with formation of a deprotio-metallacyclobutadiene and concomitant loss of one alkoxide ligand. This reaction course remains viable for the new alkylidynes with silanolate ligands. Specifically, compound 29 could be isolated upon addition of 1,10-phenanthroline. As a result, terminal alkynes can not be metathesized under existing catalysis system with similar efficiency.[11]

In practice, 5 Å MS is used as butyne scavenger to shift the equilibrium to products.
Ring closing alkyne metathesis
General
Alkyne metathesis can be used in ring-closing operations and RCAM stands for ring closing alkyne metathesis. The olfactory molecule civetone can be synthesised from a di-alkyne. After ring closure the new triple bond is stereoselectively reduced with hydrogen and the Lindlar catalyst in order to obtain the Z-alkene (cyclic E-alkenes are available through the Birch reduction). An important driving force for this type of reaction is the expulsion of small gaseous molecules such as acetylene or but-2-yne.
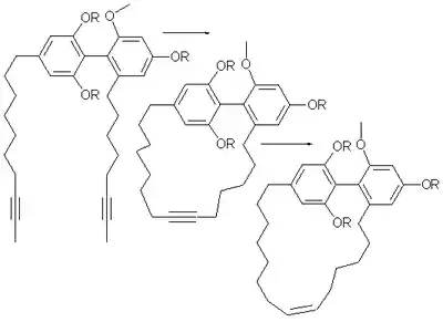
The same two-step procedure was used in the synthesis of the naturally occurring cyclophane turriane.
Trisamidomolybdenum(VI) alkylidyne complexes catalyze alkyne metathesis.[12]
Natural product synthesis
RCAM can also be used as strategic step in natural product total synthesis.[13] Some examples show the power of these catalysts. For example, RCAM can serve as key step in total synthesis of marine prostanoid hybridalactone, where epoxide, internal olefin and ester are tolerated.[14]

Another example shows a highly functionalized enyne, which displays a rare thiazolidinone unit, can be metathesized under Mo(III) catalyst, neither this unusual sulfur-containing heterocycle nor the elimination-prone tertiary glycoside posed any problem in the ring-closing step.[15]

The total synthesis of spirastrellolide F employs alkyne metathesis in one step.[16] The molecular frame of this potent phosphatase inhibitor is decorated with no less than 21 stereogenic centers and features a labile skipped diene in the side chain. Its macrocyclic core incorporates a tetrahydropyran ring, a spiroketal unit, as well as a highly unusual chlorinated bis-spiroketal motif. Specifically, a sequence of RCAM coupled with a gold-catalyzed acetalization successfully build the polycyclic system at the late stage of the synthesis.

Nitrile-alkyne cross-metathesis
By replacing a tungsten alkylidyne by a tungsten nitride and introducing a nitrile Nitrile-Alkyne Cross-Metathesis or NACM couples two nitrile groups together to a new alkyne. Nitrogen is collected by use of a sacrificial alkyne (elemental N2 is not formed):[17][18]
See also
- Olefin metathesis, redistribution of alkene bonds
- Alkane metathesis, redistribution of alkane bonds
References
- ↑ Fürstner, A.; Davies, P. W. (2005). "Alkyne Metathesis". Chemical Communications (18): 2307–2320. doi:10.1039/b419143a. PMID 15877114. S2CID 40674318.
- ↑ Daesung Lee; Ivan Volchkov; Sang Young Yun (2020). Cha, Jin K (ed.). "Alkyne Metathesis". Organic Reactions: 613–931. doi:10.1002/0471264180.or102.02. ISBN 9780471264187. S2CID 243319519.
- ↑ Cui, Mingxu; Jia, Guochen (2022-07-20). "Organometallic Chemistry of Transition Metal Alkylidyne Complexes Centered at Metathesis Reactions". Journal of the American Chemical Society. 144 (28): 12546–12566. doi:10.1021/jacs.2c01192. ISSN 0002-7863. PMID 35793547.
- ↑ Fürstner, A.; Mathes, C.; Lehmann, C. W. (1999). "Mo[N(t-Bu)(Ar)]3 Complexes As Catalyst Precursors: In Situ Activation and Application to Metathesis Reactions of Alkynes and Diynes". J. Am. Chem. Soc. 121 (40): 9453–9454. doi:10.1021/ja991340r. hdl:11858/00-001M-0000-0024-1DF5-F.
- ↑ Schrock, R. R.; Clark, D. N.; Sancho, J.; Wengrovius, J. H.; Rocklage, S. M.; Pedersen, S. F. (1982). "Tungsten(VI) neopentylidyne complexes". Organometallics. 1 (12): 1645–1651. doi:10.1021/om00072a018.
- ↑ Mortreux, Andre (1974). "Metathesis of alkynes by a molybdenum hexacarbonyl–resorcinol catalyst". Chemical Communications (19): 786–787. doi:10.1039/C39740000786.
- ↑ Hillenbrand, Julius; Fürstner, Alois (2020). ""Canopy Catalysts" for Alkyne Metathesis: Molybdenum Alkylidyne Complexes with a Tripodal Ligand Framework". J. Am. Chem. Soc. 142 (25): 11279–11294. doi:10.1021/jacs.0c04742. PMC 7322728. PMID 32463684.
- ↑ Thompson, Richard; Lee, Semin (2019). "Siloxide Podand Ligand as a Scaffold for Molybdenum-Catalyzed Alkyne Metathesis and Isolation of a Dynamic Metallatetrahedrane Intermediate". Organometallics. 38 (21): 4054–4059. doi:10.1021/acs.organomet.9b00430. S2CID 208749731.
- ↑ Thompson, Richard; Lee, Semin (2021). "Impact of Ligands and Metals on the Formation of Metallacyclic Intermediates and a Nontraditional Mechanism for Group VI Alkyne Metathesis Catalysts". J. Am. Chem. Soc. 143 (24): 9026–9039. doi:10.1021/jacs.1c01843. ISSN 0002-7863. PMC 8227475. PMID 34110130.
- ↑ Cui, Mingxu; Jia, Guochen (2020). "Robust Alkyne Metathesis Catalyzed by Air Stable d2 Re(V) Alkylidyne Complexes". J. Am. Chem. Soc. 142 (31): 13339–13344. doi:10.1021/jacs.0c06581. PMID 32673485. S2CID 220608736.
- ↑ Coutelier, Olivier (2006). "Terminal Alkyne Metathesis: A Further Step Towards Selectivity" (PDF). Adv. Synth. Catal. 348 (15): 2038. doi:10.1002/adsc.200606116.
- ↑ Wei Zhang; Yunyi Lu; Jeffrey S. Moore (2007). "Preparation of a Trisamidomolybdenum(VI) Propylidyne Complex". Org. Synth. 84: 163. doi:10.15227/orgsyn.084.0163.Wei Zhang; Hyeon Mo Cho; Jeffrey S. Moore (2007). "Preparation of a Carbazole-Based Macrocycle via Precipitation-driven Alkyne Metathesis". Org. Synth. 84: 177. doi:10.15227/orgsyn.084.0177. S2CID 93992722.
- ↑ Fürstner, Alois (2021-09-29). "The Ascent of Alkyne Metathesis to Strategy-Level Status". Journal of the American Chemical Society. 143 (38): 15538–15555. doi:10.1021/jacs.1c08040. ISSN 0002-7863. PMC 8485352. PMID 34519486.
- ↑ Hickmann, Volker; Fürstner, Alois (2011). "Catalysis-Based and Protecting-Group-Free Total Syntheses of the Marine Oxylipins Hybridalactone and the Ecklonialactones A, B, and C". J. Am. Chem. Soc. 133 (34): 13471–13480. doi:10.1021/ja204027a. PMID 21780792.
- ↑ Fürstner, Alois (2007). "Total Syntheses of the Actin-Binding Macrolides Latrunculin A, B, C, M, S and 16-epi-Latrunculin B". Chem. Eur. J. 13 (1): 115–134. doi:10.1002/chem.200601135. PMID 17091520.
- ↑ Fürstner, Alois (2011). "Second-Generation Total Synthesis of Spirastrellolide F Methyl Ester: The Alkyne Route". Angew. Chem. Int. Ed. 50 (37): 8739–8744. doi:10.1002/anie.201103270. PMID 21793139. S2CID 205364111.
- ↑ Geyer, A. M.; Gdula, R. K.; Wiedner, E. S.; Johnson, M. J. A. (2007). "Catalytic Nitrile-Alkyne Cross-Metathesis". J. Am. Chem. Soc. 129 (13): 3800–3801. doi:10.1021/ja0693439. PMID 17355136.
- ↑ Ritter, S. (March 26, 2007). "Nitrile-Alkyne Cross-Metathesis". Chemical & Engineering News.



