The rate of a chemical reaction is influenced by many different factors, such as temperature, pH, reactant, and product concentrations and other effectors. The degree to which these factors change the reaction rate is described by the elasticity coefficient. This coefficient is defined as follows:

where denotes the reaction rate and denotes the substrate concentration. Be aware that the notation will use lowercase roman letters, such as to indicate concentrations.

The partial derivative in the definition indicates that the elasticity is measured with respect to changes in a factor S while keeping all other factors constant. The most common factors include substrates, products, enzyme, and effectors. The scaling of the coefficient ensures that it is dimensionless and independent of the units used to measure the reaction rate and magnitude of the factor. The elasticity coefficient is an integral part of metabolic control analysis and was introduced in the early 1970s and possibly earlier by Henrik Kacser and Burns[1] in Edinburgh and Heinrich and Rapoport[2] in Berlin.

The elasticity concept has also been described by other authors, most notably Savageau[3] in Michigan and Clarke[4] at Edmonton. In the late 1960s Michael Savageau[3] developed an innovative approach called biochemical systems theory that uses power-law expansions to approximate the nonlinearities in biochemical kinetics. The theory is very similar to metabolic control analysis and has been very successfully and extensively used to study the properties of different feedback and other regulatory structures in cellular networks. The power-law expansions used in the analysis invoke coefficients called kinetic orders, which are equivalent to the elasticity coefficients.

Bruce Clarke[4] in the early 1970s, developed a sophisticated theory on analyzing the dynamic stability in chemical networks. As part of his analysis, Clarke also introduced the notion of kinetic orders and a power-law approximation that was somewhat similar to Savageau's power-law expansions. Clarke's approach relied heavily on certain structural characteristics of networks, called extreme currents (also called elementary modes in biochemical systems). Clarke's kinetic orders are also equivalent to elasticities.

Elasticities can also be usefully interpreted as the means by which signals propagate up or down a given pathway.[5]

The fact that different groups independently introduced the same concept implies that elasticities, or their equivalent, kinetic orders, are most likely a fundamental concept in the analysis of complex biochemical or chemical systems.

Calculating elasticity coefficients

Elasticity coefficients can be calculated either algebraically or by numerical means.

Algebraic calculation of elasticity coefficients

Given the definition of the elasticity coefficient in terms of a partial derivative, it is possible, for example, to determine the elasticity of an arbitrary rate law by differentiating the rate law by the independent variable and scaling. For example, the elasticity coefficient for a mass-action rate law such as:

where is the reaction rate, the reaction rate constant, is the ith chemical species involved in the reaction and the ith reaction order, then the elasticity, can be obtained by differentiating the rate law with respect to and scaling:

That is, the elasticity for a mass-action rate law is equal to the order of reaction of the species.

For example the elasticity of A in the reaction where the rate of reaction is given by: , the elasticity can be evaluated using:

Elasticities can also be derived for more complex rate laws such as the Michaelis–Menten rate law. If

then it can be easily shown than

This equation illustrates the idea that elasticities need not be constants (as with mass-action laws) but can be a function of the reactant concentration. In this case, the elasticity approaches unity at low reactant concentration (s) and zero at high reactant concentration.

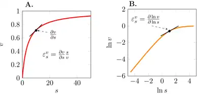
A. The slope of the reaction rate versus the reactant concentration scaled by both the reactant concentration and reaction rate yields the elasticity. If the log of the reaction rate and the log of the reactant concentration is plotted, the elasticity can be read directly from the slope of the curve. Curves were generated by assuming v = s/(2 + s)

For the reversible Michaelis–Menten rate law:

where is the forward , the forward , the equilibrium constant and the reverse , two elasticity coefficients can be calculated, one with respect to substrate, S, and another with respect to product, P. Thus:

where is the mass-action ratio, that is . Note that when p = 0, the equations reduce to the case for the irreversible Michaelis–Menten law.

As a final example, consider the Hill equation:

where n is the Hill coefficient and is the half-saturation coefficient (cf. Michaelis–Menten rate law), then the elasticity coefficient is given by:

Note that at low concentrations of S the elasticity approaches n. At high concentrations of S the elasticity approaches zero. This means the elasticity is bounded between zero and the Hill coefficient.

Summation property of elasticity coefficients

The elasticities for a reversible uni-uni enzyme catalyzed reaction was previously given by:

An interesting result can be obtained by evaluating the sum . This can be shown to equal:

Two extremes can be considered. At high saturation (), the right-hand term tends to zero so that:

That is the absolute magnitudes of the substrate and product elasticities tends to equal each other. However, it is unlikely that a given enzyme will have both substrate and product concentrations much greater than their respective Kms. A more plausible scenario is when the enzyme is working under sub-saturating conditions (). Under these conditions we obtain the simpler result:

Expressed in a different way we can state:

That is, the absolute value for the substrate elasticity will be greater than the absolute value for the product elasticity. This means that a substrate will have a great influence over the forward reaction rate than the corresponding product.[6]

This result has important implications for the distribution of flux control in a pathway with sub-saturated reaction steps. In general, a perturbation near the start of a pathway will have more influence over the steady state flux than steps downstream. This is because a perturbation that travels downstream is determined by all the substrate elasticities, whereas a perturbation downstream that has to travel upstream if determined by the product elasticities. Since we have seen that the substrate elasticities tends to be larger than the product elasticities, it means that perturbations traveling downstream will be less attenuated than perturbations traveling upstream. The net effect is that flux control tends to be more concentrated at upstream steps compared to downstream steps.[7][8]

The table below summarizes the extreme values for the elasticities given a reversible Michaelis-Menten rate law. Following Westerhoff et al.[9] the table is split into four cases that include one 'reversible' type, and three 'irreversible' types.


Approximate values of elasticities under various conditions
Equilibrium StateSaturation LevelsElasticities
Near EquilibriumAll degrees of saturation
Out of EquilibriumHigh Substrate, high product
Out of EquilibriumHigh Substrate, low product
Out of EquilibriumLow Substrate, high product
Out of EquilibriumLow Substrate, low product

Elasticity with respect to enzyme concentration

The elasticity for an enzyme catalyzed reaction with respect to the enzyme concentration has special significance. The Michaelis model of enzyme action means that the reaction rate for an enzyme catalyzed reaction is a linear function of enzyme concentration. For example, the irreversible Michaelis rate law is given below there the maximal velocity, is explicitly given by the product of the and total enzyme concentration, :

In general we can expresion this relationship as the product of the enzyme concentration and a saturation function, :

This form is applicable to many enzyme mechanisms. The elasticity coefficient can be derived as follows:

It is this result that gives rise to the control coefficient summation theorems.

Numerical calculation of elasticity coefficients

Elasticities coefficient can also be computed numerically, something that is often done in simulation software.[10]

For example, a small change (say 5%) can be made to the chosen reactant concentration, and the change in the reaction rate recorded. To illustrate this, assume that the reference reaction rate is , and the reference reactant concentration, . If we increase the reactant concentration by and record the new reaction rate as , then the elasticity can be estimated by using Newton's difference quotient:

A much better estimate for the elasticity can be obtained by doing two separate perturbations in . One perturbation to increase and another to decrease . In each case, the new reaction rate is recorded; this is called the two-point estimation method. For example, if is the reaction rate when we increase , and is the reaction rate when we decrease , then we can use the following two-point formula to estimate the elasticity:

Interpretation of the log form

Consider a variable to be some function , that is . If increases from to then the change in the value of will be given by . The proportional change, however, is given by:

The rate of proportional change at the point is given by the above expression divided by the step change in the value, namely :

Rate of proportional change

Using calculus, we know that

,

therefore the rate of proportional change equals:

This quantity serves as a measure of the rate of proportional change of the function . Just as measures the gradient of the curve plotted on a linear scale, measures the slope of the curve when plotted on a semi-logarithmic scale, that is the rate of proportional change. For example, a value of means that the curve increases at per unit .

The same argument can be applied to the case when we plot a function on both and logarithmic scales. In such a case, the following result is true:

Differentiating in log space

An approach that is amenable to algebraic calculation by computer algebra methods is to differentiate in log space. Since the elasticity can be defined logarithmically, that is:

differentiating in log space is an obvious approach. Logarithmic differentiation is particularly convenient in algebra software such as Mathematica or Maple, where logarithmic differentiation rules can be defined.[11]

A more detailed examination and the rules differentiating in log space can be found at Elasticity of a function.

Elasticity matrix

The unscaled elasticities can be depicted in matrix form, called the unscaled elasticity matrix, . Given a network with molecular species and reactions, the unscaled elasticity matrix is defined as:

Likewise, is it also possible to define the matrix of scaled elasticities:

See also


References

  1. Kacser, Henrik; Burns, J. (1973). "The control of flux". Symposia of the Society for Experimental Biology. 27: 65–104. PMID 4148886.
  2. Heinrich, Reinhart; A. Rapoport, Tom (1974). "A Linear Steady-State Treatment of Enzymatic Chains: General Properties, Control and Effector Strength". European Journal of Biochemistry. 42 (1): 89–95. doi:10.1111/j.1432-1033.1974.tb03318.x. PMID 4830198.
  3. 1 2 A. Savageau, Michael (1976). Biochemical Systems Analysis. Addison Wesley Longman Publishing Company.
  4. 1 2 L. Clarke, Bruce (1980). "Stability of Complex Reaction Networks". Advances in Chemical Physics. 43: 1–215. doi:10.1002/9780470142622.ch1. ISBN 9780470142622.
  5. Christensen, Carl D.; Hofmeyr, Jan-Hendrik S.; Rohwer, Johann M. (28 November 2018). "Delving deeper: Relating the behaviour of a metabolic system to the properties of its components using symbolic metabolic control analysis". PLOS ONE. 13 (11): e0207983. Bibcode:2018PLoSO..1307983C. doi:10.1371/journal.pone.0207983. PMC 6261606. PMID 30485345.
  6. Sauro, Herbert (2013). Systems biology: an introduction to metabolic control analysis (1st, version 1.01 ed.). Seattle, WA: Ambrosius Publishing. ISBN 978-0982477366.
  7. Ringemann, C.; Ebenhöh, O.; Heinrich, R.; Ginsburg, H. (2006). "Can biochemical properties serve as selective pressure for gene selection during inter-species and endosymbiotic lateral gene transfer?". IEE Proceedings - Systems Biology. 153 (4): 212–222. doi:10.1049/ip-syb:20050082. PMID 16986623.
  8. Heinrich, Reinhart; Klipp, Edda (October 1996). "Control Analysis of Unbranched Enzymatic Chains in States of Maximal Activity". Journal of Theoretical Biology. 182 (3): 243–252. Bibcode:1996JThBi.182..243H. doi:10.1006/jtbi.1996.0161. PMID 8944155.
  9. Westerhoff, Hans V.; Groen, Albert K.; Wanders, Ronald J. A. (1 January 1984). "Modern theories of metabolic control and their applications". Bioscience Reports. 4 (1): 1–22. doi:10.1007/BF01120819. PMID 6365197. S2CID 27791605.
  10. Yip, Evan; Sauro, Herbert (8 October 2021). "Computing Sensitivities in Reaction Networks using Finite Difference Methods". arXiv:2110.04335 [q-bio.QM].
  11. H. Woods, James; M. Sauro, Herbert (1997). "Elasticities in Metabolic Control Analysis: Algebraic Derivation of Simplified Expressions". Computer Applications in the Biosciences. 13 (2): 23–130. doi:10.1093/bioinformatics/13.2.123. PMID 9146958.

Further reading

  • Cornish-Bowden, Athel (1995). Fundamentals of Enzyme Kinetics. Portland Press.
  • Fell D. (1997). Understanding the Control of Metabolism. Portland Press.
  • Heinrich, Reinhart; Schuster, Stefan (1996). The Regulation of Cellular Systems. Chapman and Hall.
This article is issued from Wikipedia. The text is licensed under Creative Commons - Attribution - Sharealike. Additional terms may apply for the media files.