![]() | |
| Clinical data | |
|---|---|
| Routes of administration | Oral |
| Identifiers | |
| |
| CAS Number | |
| PubChem CID | |
| ChemSpider | |
| UNII | |
| CompTox Dashboard (EPA) | |
| Chemical and physical data | |
| Formula | C20H23ClO2 |
| Molar mass | 330.85 g·mol−1 |
| 3D model (JSmol) | |
| |
| |
Ethynerone (INN, USAN), also known as 17α-(2-chloroethynyl)estra-4,9-dien-17β-ol-3-one, is a steroidal progestin of the 19-nortestosterone group that was first reported in 1961 but was never marketed.[1] Under the developmental code name MK-665, it was studied in combination with mestranol as an oral contraceptive.[2] Development of the drug was discontinued due to concerns surrounding toxicity findings in dogs.[2] It is a chloroethynylated derivative of norethisterone.[3]
In 1966, during its clinical development, ethynerone was found to produce mammary gland tumors in dogs treated with it at very high doses for prolonged periods of time.[4][5][6] Subsequent investigation found that 17α-hydroxyprogesterone derivatives included anagestone acetate, chlormadinone acetate, medroxyprogesterone acetate, and megestrol acetate produced similar mammary gland tumors, and that their ability to do so correlated directly with their progestogenic actions.[6][7] In contrast, the non-halogenated 19-nortestosterone derivatives norgestrel, norethisterone, noretynodrel, and etynodiol diacetate, which are much less potent as progestogens, did not produce such effects at the dosages tested.[6] Clinical development of ethynerone was discontinued, and many of the 17α-hydroxyprogesterone derivatives were withdrawn for the indication of hormonal contraception.[6][7] Research later on revealed species differences between dogs and humans and established that there is no similar risk in humans.[2]

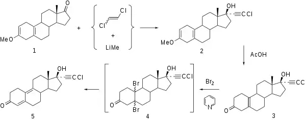
Synthesis

See also
References
- ↑ Elks J (14 November 2014). The Dictionary of Drugs: Chemical Data: Chemical Data, Structures and Bibliographies. Springer. pp. 521–. ISBN 978-1-4757-2085-3.
- 1 2 3 Runnebaum BC, Rabe T, Kiesel L (6 December 2012). Female Contraception: Update and Trends. Springer Science & Business Media. pp. 134–135. ISBN 978-3-642-73790-9.
- ↑ Diczfalusy E, et al. (World Health Organization) (1974). Acta Endocrinologica: Supplementum. Ejnar Munksgaard. p. 261. ISBN 9788774940968.
- ↑ Geil RG, Lamar JK (September 1977). "FDA studies of estrogen, progestogens, and estrogen/progestogen combinations in the dog and monkey". Journal of Toxicology and Environmental Health. 3 (1–2): 179–93. Bibcode:1977JTEH....3..179G. doi:10.1080/15287397709529557. PMID 411941.
- ↑ Jacobs AC, Hatfield KP (March 2013). "History of chronic toxicity and animal carcinogenicity studies for pharmaceuticals". Veterinary Pathology. 50 (2): 324–33. doi:10.1177/0300985812450727. PMID 22700852. S2CID 22367595.
- 1 2 3 4 Lingeman CH (6 December 2012). Carcinogenic Hormones. Springer Science & Business Media. pp. 149–. ISBN 978-3-642-81267-5.
- 1 2 James VH, Pasqualini JR (22 October 2013). Hormonal Steroids: Proceedings of the Fifth International Congress on Hormonal Steroids. Elsevier Science. pp. 7–8. ISBN 978-1-4831-5895-2.
- ↑ p165 Lednicer Mitscher book 1 and p146 (2)
