The Pauson–Khand (PK) reaction is a chemical reaction, described as a [2+2+1] cycloaddition. In it, an alkyne, an alkene and carbon monoxide combine into a α,β-cyclopentenone in the presence of a metal-carbonyl catalyst.[1][2]

Ihsan Ullah Khand (1935–1980) discovered the reaction around 1970, while working as a postdoctoral associate with Peter Ludwig Pauson (1925–2013) at the University of Strathclyde in Glasgow.[3][4][5] Pauson and Khand's initial findings were intermolecular in nature, but the reaction has poor selectivity. Most modern applications instead apply the reaction for intramolecular ends.[6]

The traditional catalyst is stoichiometric amounts of dicobalt octacarbonyl, stabilized by a carbon monoxide atmosphere.[7] Catalytic metal quantities, enhanced reactivity and yield, or stereoinduction are all possible with the right chiral auxiliaries, choice of transition metal (Ti, Mo, W, Fe, Co, Ni, Ru, Rh, Ir and Pd), and additives.[8][9][10][11]

Mechanism

While the mechanism has not yet been fully elucidated, Magnus' 1985 explanation[12] is widely accepted for both mono- and dinuclear catalysts, and was corroborated by computational studies published by Nakamura and Yamanaka in 2001.[13] The reaction starts with dicobalt hexacarbonyl acetylene complex. Binding of an alkene gives a metallacyclopentene complex. CO then migratorily inserts into an M-C bond. Reductive elimination delivers the cyclopentenone. Typically, the dissociation of carbon monoxide from the organometallic complex is rate limiting.[8]

1:
Alkyne coordination, insertion and ligand dissociation to form an 18-electron complex;
2:
Ligand dissociation to form a 16-electron complex;
3:
Alkene coordination to form an 18-electron complex;
4:
Alkene insertion and ligand association (synperiplanar, still 18 electrons);
5:
CO migratory insertion;
6, 7:
Reductive elimination of metal (loss of [Co2(CO)6]);
8:
CO association, to regenerate the active organometallic complex.[14]

Selectivity

The reaction works with both terminal and internal alkynes, although internal alkynes tend to give lower yields. The order of reactivity for the alkene is

(strained cyclic) > (terminal) > (disubstituted) > (trisubstituted).

Tetrasubstituted alkenes and alkenes with strongly electron-withdrawing groups are unsuitable.

With unsymmetrical alkenes or alkynes, the reaction is rarely regioselective, although some patterns can be observed.

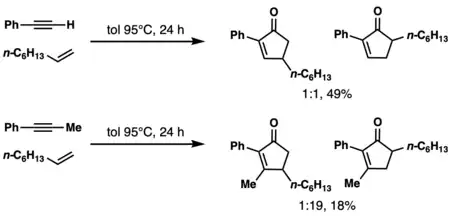
The PK reaction has poor regioselectivity with monosubstituted alkenes. Phenylacetylene and 1-octene produce at least 4 isomeric products. ("tol" = toluene)

For mono-substituted alkenes, alkyne substituents typically direct: larger groups prefer the C2 position, and electron-withdrawing groups prefer the C3 position.

An electron-withdrawing group (ethyl benzoatyl) prefers the C3 position. ("Tol" = toluene)

But the alkene itself struggles to discriminate between the C4 and C5 position, unless the C2 position is sterically congested or the alkene has a chelating heteroatom.

The reaction's poor selectivity is ameliorated in intramolecular reactions. For this reason, the intramolecular Pauson-Khand is common in total synthesis, particularly the formation of 5,5- and 6,5-membered fused bicycles.

An intramolecular Pauson-Khand reaction

Generally, the reaction is highly syn-selective about the bridgehead hydrogen and substituents on the cyclopentane.

An intramolecular Pauson-Khand reaction produces a bicycle with 97% syn to the bridgehead and 3% anti.

Appropriate chiral ligands or auxiliaries can make the reaction enantioselective (see § Amine N-oxides). BINAP is commonly employed.

Additives

Pauson-Khand in DME (dimethoxyethane? dimethyl ether?) at 120°C

Typical Pauson-Khand conditions are elevated temperatures and pressures in aromatic hydrocarbon (benzene, toluene) or ethereal (tetrahydrofuran, 1,2-dichloroethane) solvents. These harsh conditions may be attenuated with the addition of various additives.

Original reaction: 24 hours at 60°C with 30% yield.  Dry reaction: silica, oxygen, 45°C for 0.5 hours for 75% yield.
Adding silica improved this reaction rate by a factor of ≈50.

Absorbent surfaces

Adsorbing the metallic complex onto silica or alumina can enhance the rate of decarbonylative ligand exchange as exhibited in the image below.[15][16] This is because the donor posits itself on a solid surface (i.e. silica). Additionally using a solid support restricts conformational movement (rotamer effect).[17][18][19]

Lewis bases

Traditional catalytic aids such as phosphine ligands make the cobalt complex too stable, but bulky phosphite ligands are operable.

Reaction in cyclohexanamine fails to proceed, but with neo-butyl methyl sulfide it runs to 79% yield.

Lewis basic additives, such as n-BuSMe, are also believed to accelerate the decarbonylative ligand exchange process. However, an alternative view holds that the additives make olefin insertion irreversible instead.[20] Sulfur compounds are typically hard to handle and smelly, but n-dodecyl methyl sulfide[21] and tetramethylthiourea[22] do not suffer from those problems and can improve reaction performance.

Amine N-oxides

The two most common amine N-oxides are N-methylmorpholine N-oxide (NMO) and trimethylamine N-oxide (TMANO). It is believed that these additives remove carbon monoxide ligands via nucleophilic attack of the N-oxide onto the CO carbonyl, oxidizing the CO into CO2, and generating an unsaturated organometallic complex.[23][24] This renders the first step of the mechanism irreversible, and allows for more mild conditions. Hydrates of the aforementioned amine N-oxides have similar effect.[25][26][27]

N-oxide additives can also improve enantio- and diastereoselectivity, although the mechanism thereby is not clear.[28][29][30]

(NMO = Nmethylmorpholine Noxide, DCM = dichloromethane) A step in the total synthesis of epoxydictymene: temperature and ultrasound failed to improve the d.r. for the desired diastereomer (the red hydrogen). But the N-oxide additive, while lower yielding, gave a d.r. of 11:1.[28]

Alternative catalysts

The original Pauson-Khand catalyst is a low-oxidation-state cobalt complex unstable in air. Multinuclear cobalt catalysts like (Co)4(CO)12 and Co3(CO)93-CH) suffer from the same flaw,[31][32] although Takayama et al detail a reaction catalyzed by dicobalt octacarbonyl.[33]

The key step in Takayama et al's asymmetric total synthesis of the Lycopodium alkaloid huperzine-Q: Co2(CO)8 catalyzes an enyne cyclization.[33] The siloxane ring ensures[34] that only a single product enantiomer forms.[33]

One stabilization method is to generate the catalyst in situ. Chung reports that Co(acac)2 can serve as a precatalyst, activated by sodium borohydride.[35]

Other metals

Wilkinson's rhodium-based catalyst requires a silver triflate co-catalyst to effect the Pauson–Khand reaction:[36]

PK reaction with Wilkinson's catalyst
PK reaction with Wilkinson's catalyst

Molybdenum hexacarbonyl is a carbon monoxide donor in PK-type reactions between allenes and alkynes with dimethyl sulfoxide in toluene.[37] Titanium, nickel,[38] and zirconium[39] complexes admit the reaction. Other metals can also be employed in these transformations.[40][9]

Substrate tolerance

In general allenes, support the Pauson–Khand reaction; regioselectivity is determined by the choice of metal catalyst. Density functional investigations show the variation arises from different transition state metal geometries.[41]

PK reaction with molybdenum hexacarbonyl
Molybdenum catalyzes a Pauson-Khand reaction at an allene's internal double bond. Rhodium would catalyze a reaction at this substrate's terminal double-bond instead.

Heteroatoms are also acceptable: Mukai et al's total synthesis of physostigmine applied the Pauson–Khand reaction to a carbodiimide.[42]

Cyclobutadiene also lends itself to a [2+2+1] cycloaddition, although this reactant is too active to store in bulk. Instead, ceric ammonium nitrate cyclobutadiene is generated in situ from decomplexation of stable cyclobutadiene iron tricarbonyl with (CAN).

Pauson Khand reaction Seigal 2005
Pauson Khand reaction Seigal 2005

An example of a newer version is the use of the chlorodicarbonylrhodium(I) dimer, [(CO)2RhCl]2, in the synthesis of (+)-phorbol by Phil Baran. In addition to using a rhodium catalyst, this synthesis features an intramolecular cyclization that results in the normal 5-membered α,β-cyclopentenone as well as 7-membered ring.[43]

Carbon monoxide generation in situ

Recently, several groups have published work avoiding the use of toxic carbon monoxide, and instead generate the cyclopentenone carbonyl motif from aldehydes, carboxylic acids, and formates. These examples typically employ rhodium as the organometallic transition metal, as it is commonly used in decarbonylation reactions. The decarbonylation and PK reaction occur in the same reaction vessel.[44][45]

See also

Further reading

For Khand and Pauson's perspective on the reaction:

  • Khand, Ihsan U.; Knox, Graham R.; Pauson, Peter L.; Watts, William E. (1973a). "Organocobalt complexes, Part I: Arene complexes derived from dodecacarbonyl­tetracobalt". Journal of the Chemical Society, Perkin Transactions (1): 975–977. doi:10.1039/p19730000975. ISSN 0300-922X.
  • Khand, Ihsan U.; Knox, Graham R.; Pauson, Peter L.; Watts, William E.; Foreman, Michael I. (1973b). "Organocobalt complexes, Part II: Reaction of acetylene­hexacarbonyl­dicobalt complexes, (R1C2R2)Co2(CO)6, with norbornene and its derivatives". Journal of the Chemical Society, Perkin Transactions (1): 977–981. doi:10.1039/p19730000977. ISSN 0300-922X.
  • Pauson, P. L.; Khand, I. U. (1977). "Uses of Cobalt-Carbonyl Acetylene Complexes in Organic Synthesis". Ann. N. Y. Acad. Sci. 295 (1): 2–14. Bibcode:1977NYASA.295....2P. doi:10.1111/j.1749-6632.1977.tb41819.x. S2CID 84203764.

For a modern perspective:

  • Hartwig, John F. (2010). Organotransition Metal Chemistry: from bonding to catalysis. Mill Valley, Calif.: University Science Books. ISBN 978-1-891389-53-5. OCLC 310401036 via Knovel.
  • Ríos Torres, Ramón (2012). Rios Torres, Ramon (ed.). The Pauson-Khand reaction : scope, variations, and applications. Hoboken, N.J.: John Wiley & Sons. doi:10.1002/9781119941934. ISBN 978-1-118-30863-9. OCLC 774982574.
  • Gibson, Susan E.; Stevenazzi, Andrea (2003). "The PausonKhand Reaction: The Catalytic Age Is Here!". Angew. Chem. Int. Ed. 42 (16): 1800–1810. doi:10.1002/anie.200200547. PMID 12722067.
  • Buchwald, Stephen L.; Hicks, Frederick A. (1999). "PausonKhand-type reactions". In Jacobsen, Eric N.; Pfaltz, Andreas; Yamamoto Hisashi (eds.). Comprehensive Asymmetric Catalysis. Vol. II. Berlin: Springer. pp. 491–513.

References

  1. Pauson & Khand 1977.
  2. Blanco-Urgoiti, Jaime; Añorbe, Loreto; Pérez-Serrano, Leticia; Domínguez, Gema; Pérez-Castells, Javier (2004). "The PausonKhand reaction, a powerful synthetic tool for the synthesis of complex molecules". Chem. Soc. Rev. 33 (1): 32–42. doi:10.1039/b300976a. PMID 14737507.
  3. Werner, Helmut (2014). "Obituary: Peter Ludwig Pauson (19252013)". Angew. Chem. Int. Ed. 53 (13): 3309. doi:10.1002/anie.201400432.
  4. Khand et al. 1973a.
  5. Khand et al. 1973b.
  6. Schore, N. E.; Croudace, M. C. (1981-12-01). "Preparation of bicyclo[3.3.0]oct-1-en-3-one and bicyclo[4.3.0]non-1(9)-en-8-one via intramolecular cyclization of .alpha.,.omega.-enynes". The Journal of Organic Chemistry. 46 (26): 5436–5438. doi:10.1021/jo00339a046. ISSN 0022-3263.
  7. Buchwald & Hicks 1999.
  8. 1 2 Hartwig 2010.
  9. 1 2 Ríos Torres 2012.
  10. Schore, Neil E. (1991). "The PausonKhand Cycloaddition Reaction for Synthesis of Cyclopentenones". Org. React. 40: 1–90. doi:10.1002/0471264180.or040.01. ISBN 0471264180.
  11. Gibson & Stevenazzi 2003.
  12. Magnus, Philip; Principe, Lawrence M. (January 1985). "Origins of 1,2- and 1,3-stereoselectivity in dicobaltoctacarbonyl alkene-alkyne cyclizations for the synthesis of substituted bicyclo[3.3.0]octenones". Tetrahedron Letters. 26 (40): 4851–4854. doi:10.1016/s0040-4039(00)94968-2. ISSN 0040-4039., later expanded to Magnus, Philip; Exon, Christopher; Albaugh-Robertson, Pamela (1985-01-01). "Dicobaltoctacarbonyl-alkyne complexes as intermediates in the synthesis of bicyclo[3.3.0]octenones for the synthesis of coriolin and hirsutic acid". Tetrahedron. 41 (24): 5861–5869. doi:10.1016/S0040-4020(01)91425-5. ISSN 0040-4020.
  13. Yamanaka, Masahiro; Nakamura, Eiichi (2001-02-01). "Density Functional Studies on the Pauson−Khand Reaction". Journal of the American Chemical Society. 123 (8): 1703–1708. doi:10.1021/ja005565+. ISSN 0002-7863. PMID 11456770.
  14. Kürti László; Czakó Barbara (2005). Strategic Applications of Named Reactions in Organic Synthesis: background and detailed mechanisms. Amsterdam: Elsevier Academic Press. ISBN 978-0-12-429785-2. OCLC 60792519.
  15. Billington, David C.; Willison, Debra (1984). "A simple organocobalt mediated synthesis of substituted 3-oxabicyclo[3.3.0]oct-6-en-7-ones". Tetrahedron Letters. 25 (36): 4041–4044. doi:10.1016/0040-4039(84)80061-1. ISSN 0040-4039.
  16. Morimoto, Takashi; Hirano, Masao; Echigoya, Kohki; Sato, Takafumi (1986). "Oxidation by cobalt(III) acetate. Part 10. Effects of ring substituents on the product distributions in the oxidation of β-methylstyrenes by cobalt(III) acetate in acetic acid". J. Chem. Soc., Perkin Trans. 2 (8): 1205–1209. doi:10.1039/p29860001205. ISSN 0300-9580.
  17. Brown, Scott W.; Pauson, Peter L. (1990). "The synthesis of nitrogen heterocycles via the intramolecular Khand reaction: formation of tetra- and hexa-hydrocyclopenta[c]pyrrol-5(1H)-ones and hexahydro-6H-2-pyrindin-6-ones". Journal of the Chemical Society, Perkin Transactions 1 (4): 1205–1209. doi:10.1039/p19900001205. ISSN 0300-922X.
  18. Shilov, Aleksandr E; Shul'pin, Georgiy B (1987-05-31). "Activation and Catalytic Reactions of Alkanes in Solutions of Metal Complexes". Russian Chemical Reviews. 56 (5): 442–464. Bibcode:1987RuCRv..56..442S. doi:10.1070/rc1987v056n05abeh003282. ISSN 0036-021X. S2CID 250841849.
  19. Smit, W.A; Kireev, S.L; Nefedov, O.M; Tarasov, V.A (1989-01-01). "Methylenecyclopropane as an alkene component in the Khand-Pauson reaction". Tetrahedron Letters. 30 (30): 4021–4024. doi:10.1016/S0040-4039(00)99313-4. ISSN 0040-4039.
  20. Valle, Carlos Perez del; Milet, Anne; Gimbert, Yves; Greene, Andrew E. (2005). "Lewis Base Promoters in the Pauson–Khand Reaction: A Different Scenario". Angewandte Chemie International Edition. 44 (35): 5717–5719. doi:10.1002/anie.200500955. ISSN 1521-3773. PMID 16078280.
  21. Cochrane, Alison R.; Kerr, William J.; Paterson, Laura C.; Pearson, Colin M.; Shaw, Paul (2021-01-08). "Advances in the cobalt-catalysed Pauson-Khand reaction: Development of a sulfide-promoted, microwave-assisted protocol". Tetrahedron. 78: 131805. doi:10.1016/j.tet.2020.131805. ISSN 0040-4020. S2CID 229387356.
  22. Reuter, Carin; Vögtle, Fritz (March 2000). "Rotaxanes via Michael Addition†". Organic Letters. 2 (5): 593–595. doi:10.1021/ol990350u. ISSN 1523-7060. PMID 10814386.
  23. Shambayani, Soroosh; Crowe, William E.; Schreiber, Stuart L. (1990-01-01). "N-oxide promoted pauson-khand cyclizations at room temperature". Tetrahedron Letters. 31 (37): 5289–5292. doi:10.1016/S0040-4039(00)98052-3. ISSN 0040-4039.
  24. Alper, Howard; Edward, J. T. (2011-02-03). "Reactions of iron pentacarbonyl with compounds containing the N—O linkage". Canadian Journal of Chemistry. 48 (10): 1543–1549. doi:10.1139/v70-251.
  25. Crawford, James J.; Kerr, William J.; McLaughlin, Mark; Morrison, Angus J.; Pauson, Peter L.; Thurston, Graeme J. (2006-12-04). "Use of a highly effective intramolecular Pauson–Khand cyclisation for the formal total synthesis of (±)-α- and β-cedrene by preparation of cedrone". Tetrahedron. 62 (49): 11360–11370. doi:10.1016/j.tet.2006.05.044. ISSN 0040-4020.
  26. Krafft, Marie E.; Romero, Romulo H.; Scott, Ian L. (1992-09-01). "Pauson-Khand reaction with electron-deficient alkynes". The Journal of Organic Chemistry. 57 (20): 5277–5278. doi:10.1021/jo00046a001. ISSN 0022-3263.
  27. Bernardes, Vania; Kann, Nina; Riera, Antoni; Moyano, Albert; Pericas, Miquel A.; Greene, Andrew E. (1995-10-01). "Asymmetric Pauson-Khand Cyclization: A Formal Total Synthesis of Natural Brefeldin A". The Journal of Organic Chemistry. 60 (21): 6670–6671. doi:10.1021/jo00126a010. ISSN 0022-3263.
  28. 1 2 Jamison, Timothy F.; Shambayati, Soroosh; Crowe, William E.; Schreiber, Stuart L. (1997-05-01). "Tandem Use of Cobalt-Mediated Reactions to Synthesize (+)-Epoxydictymene, a Diterpene Containing a Trans-Fused 5−5 Ring System". Journal of the American Chemical Society. 119 (19): 4353–4363. doi:10.1021/ja970022u. ISSN 0002-7863.
  29. Carbery, David R.; Kerr, William J.; Lindsay, David M.; Scott, James S.; Watson, Stephen P. (2000-04-22). "Preparation and reaction of desymmetrised cobalt alkyne complexes". Tetrahedron Letters. 41 (17): 3235–3239. doi:10.1016/S0040-4039(00)00356-7. ISSN 0040-4039.
  30. Jończyk, Andrzej; Konarska, Anna (July 1999). "Generation and Reactions of Ammonium Ylides in Basic Two-Phase Systems: Convenient Synthesis of Cyclopropanes, Oxiranes and Alkenes Substituted with Electron-Withdrawing Groups". Synlett. 1999 (7): 1085–1087. doi:10.1055/s-1999-2757. ISSN 0936-5214. S2CID 196781210.
  31. Kim, Jong Wook; Chung, Young Keun (February 1998). "Pauson-Khand Reaction Catalyzed by Co4(CO)12". Synthesis. 1998 (2): 142–144. doi:10.1055/s-1998-2016. ISSN 0039-7881. S2CID 196736582.
  32. Sugihara, Takumichi; Yamaguchi, Masahiko (1998-10-01). "The Pauson−Khand Reaction Catalyzed by the Methylidynetricobalt Nonacarbonyl Cluster". Journal of the American Chemical Society. 120 (41): 10782–10783. doi:10.1021/ja982635s. ISSN 0002-7863.
  33. 1 2 3 Nakayama, Atsushi; Kogure, Noriyuki; Kitajima, Mariko; Takayama, Hiromitsu (2011). "Asymmetric Total Synthesis of a Pentacyclic Lycopodium Alkaloid: Huperzine-Q". Angew. Chem. Int. Ed. 50 (35): 8025–8028. doi:10.1002/anie.201103550. PMID 21751323. S2CID 10947595.
  34. Ho, Tse-Lok (2016). "Dicobalt Octacarbonyl". Fiesers' Reagents for Organic Synthesis. Vol. 28. John Wiley & Sons. pp. 251–252. ISBN 9781118942819.
  35. Lee, Nam Young; Chung, Young Keun (April 1996). "Synthesis of cyclopentenones: The new catalytic cocyclization reaction of alkyne, alkene, and carbon monoxide employing catalytic Co(acac)2 and NaBH4". Tetrahedron Letters. 37 (18): 3145–3148. doi:10.1016/0040-4039(96)00513-8. ISSN 0040-4039.
  36. Nakcheol Jeong, Byung Ki Sung, Jin Sung Kim, Soon Bong Park,Sung Deok Seo, Jin Young Shin, Kyu Yeol In, Yoon Kyung Choi Pauson–Khand-type reaction mediated by Rh(I) catalysts Pure Appl. Chem., Vol. 74, No. 1, pp. 85–91, 2002. (Online article)
  37. Kent, J (1995). "A new allenic Pauson-Khand cycloaddition for the preparation of α-methylene cyclopentenones". Tetrahedron Letters. 36 (14): 2407–2410. doi:10.1016/0040-4039(95)00315-4.
  38. Titanium: Nickel:
  39. Jeong, Nakcheol; Hwang, Sung Hee; Lee, Youngshin; Chung, Young Keun (April 1994). "Catalytic version of the Intramolecular Pauson-Khand Reaction". Journal of the American Chemical Society. 116 (7): 3159–3160. doi:10.1021/ja00086a070. ISSN 0002-7863.
  40. Bayden, Alexander S.; Brummond, Kay M.; Jordan, Kenneth D. (2006-10-01). "Computational Insight Concerning Catalytic Decision Points of the Transition Metal Catalyzed [2 + 2 + 1] Cyclocarbonylation Reaction of Allenes". Organometallics. 25 (22): 5204–5206. doi:10.1021/om0607503. ISSN 0276-7333. PMC 4441411. PMID 26005240.
  41. Mukai, Chisato; Yoshida, Tatsunori; Sorimachi, Mao; Odani, Akira (January 2006). "Co2(CO)8-Catalyzed Intramolecular Hetero-Pauson−Khand Reaction of Alkynecarbodiimide: Synthesis of (±)-Physostigmine". Organic Letters. 8 (1): 83–86. doi:10.1021/ol052562z. ISSN 1523-7060. PMID 16381573.
  42. Kawamura, Shuhei; Chu, Hang; Felding, Jakob; Baran, Phil S. (2016). "Nineteen-step total synthesis of (+)-phorbol". Nature. 532 (7597): 90–93. Bibcode:2016Natur.532...90K. doi:10.1038/nature17153. PMC 4833603. PMID 27007853.
  43. Morimoto, Tsumoru; Fuji, Koji; Tsutsumi, Ken; Kakiuchi, Kiyomi (2002). "CO-Transfer Carbonylation Reactions. A Catalytic Pauson−Khand-Type Reaction of Enynes with Aldehydes as a Source of Carbon Monoxide". Journal of the American Chemical Society. 124 (15): 3806–3807. doi:10.1021/ja0126881.
  44. Shibata, Takanori; Toshida, Natsuko; Takagi, Kentaro (2002). "Catalytic Pauson−Khand-Type Reaction Using Aldehydes as a CO Source". Organic Letters. 4 (9): 1619–1621. doi:10.1021/ol025836g.
This article is issued from Wikipedia. The text is licensed under Creative Commons - Attribution - Sharealike. Additional terms may apply for the media files.