![]() | |
| Identifiers | |
|---|---|
3D model (JSmol) |
|
PubChem CID |
|
CompTox Dashboard (EPA) |
|
| |
| Properties | |
| C34H24O22 | |
| Molar mass | 784.54 g/mol |
Except where otherwise noted, data are given for materials in their standard state (at 25 °C [77 °F], 100 kPa).
Infobox references | |
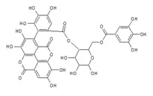
Terflavin B is an ellagitannin, a type of hydrolysable tannin. It can be found in Myrobalanus chebula (Terminalia chebula), the black chebulic, and in Terminalia catappa, the Indian almond.[1]
It is formed from a nonahydroxytriphenic acid dilactone and a gallic acid linked to a glucose molecules.
References
This article is issued from Wikipedia. The text is licensed under Creative Commons - Attribution - Sharealike. Additional terms may apply for the media files.
